Reazioni di sostituzione ed eliminazione

2) Scrivere i prodotti delle seguenti reazioni. Mostrare il meccanismo di reazione. Indicare la stereochimica quando opportuno.
a) (R)-2-bromo-3-metilbutano + idrossido di sodio
b) (R)-2-bromo-3-metilbutano + idrossido di sodio a caldo (100°C)
c) (R)-2-bromo-3-metilbutano + DBN
d) (R)-2-bromo-3-metilbutano + acetato di sodio
e) 1-bromocicloesano + idrossido di sodio
f) 1-bromocicloesano + t-butossido di potassio
g) 1-bromo-3-metilbutano + t-butossido di potassio
h) 1-bromo-3-metilbutano + idrossido di potassio
i) 1-cloro-1-metil-ciclopentano + metossido di sodio
l) 1-cloro-1-metil-ciclopentano + acqua
3) Rappresenta i prodotti delle seguenti reazioni E2, tenendo presente la stereochimica
a) (2S,3S)-2-bromo-3-metilesano + OH– a caldo
b) (2S,3R)-2-bromo-3-metilesano + OH– a caldo
c) (2R,3R)-2-bromo-3-metilesano + OH– a caldo
d) (2R,3S)-2-bromo-3-metilesano + OH– a caldo
e) (2S,3S)-2-fluoro-3-metilesano + OH– a caldo
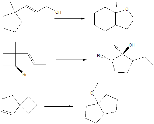
4) Proporre una strategia di sintesi dei seguenti composti a partire dall’opportuno alogenuro alchilico:
a) (1R, 3S)- 3-metilcicloesanolo
b) 1-metilcicloesene
c) 1-ciclopentil-1-pentene
5) Partendo dall’opportuno alogenuro alchilico e scegliendo le giuste condizioni di reazione, illustrare il meccanismo di reazione della sintesi dei seguenti composti. Indicare eventuali altri prodotti fornendo per tutti il nome IUPAC completo di stereochimica.
a) 1-metilcicloesene
b) (R)-3-metilcicloesene
c) 2-metil-1-pentene
d) 2-metil-2-pentene
e) (Z)-3-metil-2-pentene
f) (E)-e-metil-2-pentene
6) Dire quale composto delle seguenti coppie reagisce più velocemente in una reazione di eliminazione E2 e spiegare perchè
a) (1R,3S)-1-bromo-3-isopropilcicloesano o (1R,3R)-1-bromo-3-isopropilcicloesano
b) cis-1-bromo-4-isopropilcicloesano o trans-1-bromo-4-isopropilcicloesano
c) (1R,3S,4S)-1-bromo-4-isobutil-3-metilcicloesano o (1R,3S,4R)-1-bromo-4-isobutil-3-metilcicloesano
d) (1R,3S,4S)-1-bromo-4-isobutil-3-metilcicloesano o (1R,3R,4S)-1-bromo-4-isobutil-3-metilcicloesano
7) Mettere i seguenti composti in ordine di reattività crescente in una reazione SN1 e motivare la scelta
a) (CH3)3CI, (CH3)3CCl, (CH3)3CF, (CH3)3CBr
b) 2-bromo-2-metilbutano, 3-bromo-3-metil-1-butene, 2-bromobutano
c) 4-bromocicloesene, 5-bromo-1,3-cicloesadiene, 3-bromocicloesene
8) Mettere i seguenti composti in ordine di reattività crescente in una reazione E2 e motivare la scelta
a) 4-bromocicloesene, 5-bromo-1,3-cicloesadiene, 3-bromocicloesene
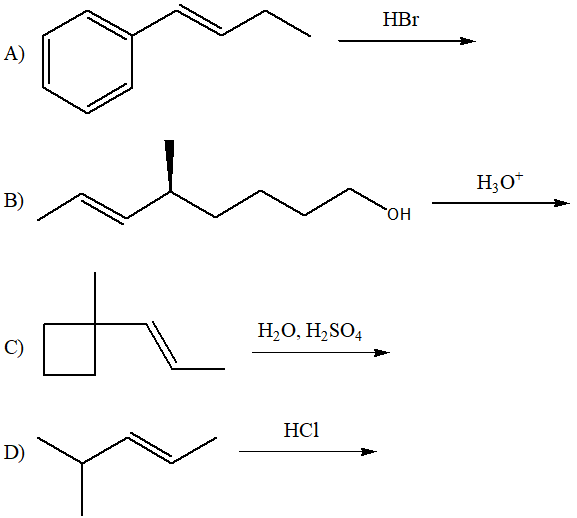
9) Scrivere i prodotti principali delle seguenti reazioni, motivando la risposta

10) Proporre una strategia di sintesi dei seguenti eteri mediante sintesi di Williamson. Per ciascun etere, dire se sono possibili metodi di sintesi alternativi.





























































You must be logged in to post a comment.