Ancora nomenclatura
Esercizio n. 1
Assegna il nome IUPAC ai seguenti composti

Esercizio 2
Assegnare il nome IUPAC ai seguenti composti:

Esercizio n. 3
Assegnare il nome IUPAC ai seguenti composti

Università degli Studi della Campania "Luigi Vanvitelli"
Esercizio n. 1
Assegna il nome IUPAC ai seguenti composti

Esercizio 2
Assegnare il nome IUPAC ai seguenti composti:

Esercizio n. 3
Assegnare il nome IUPAC ai seguenti composti

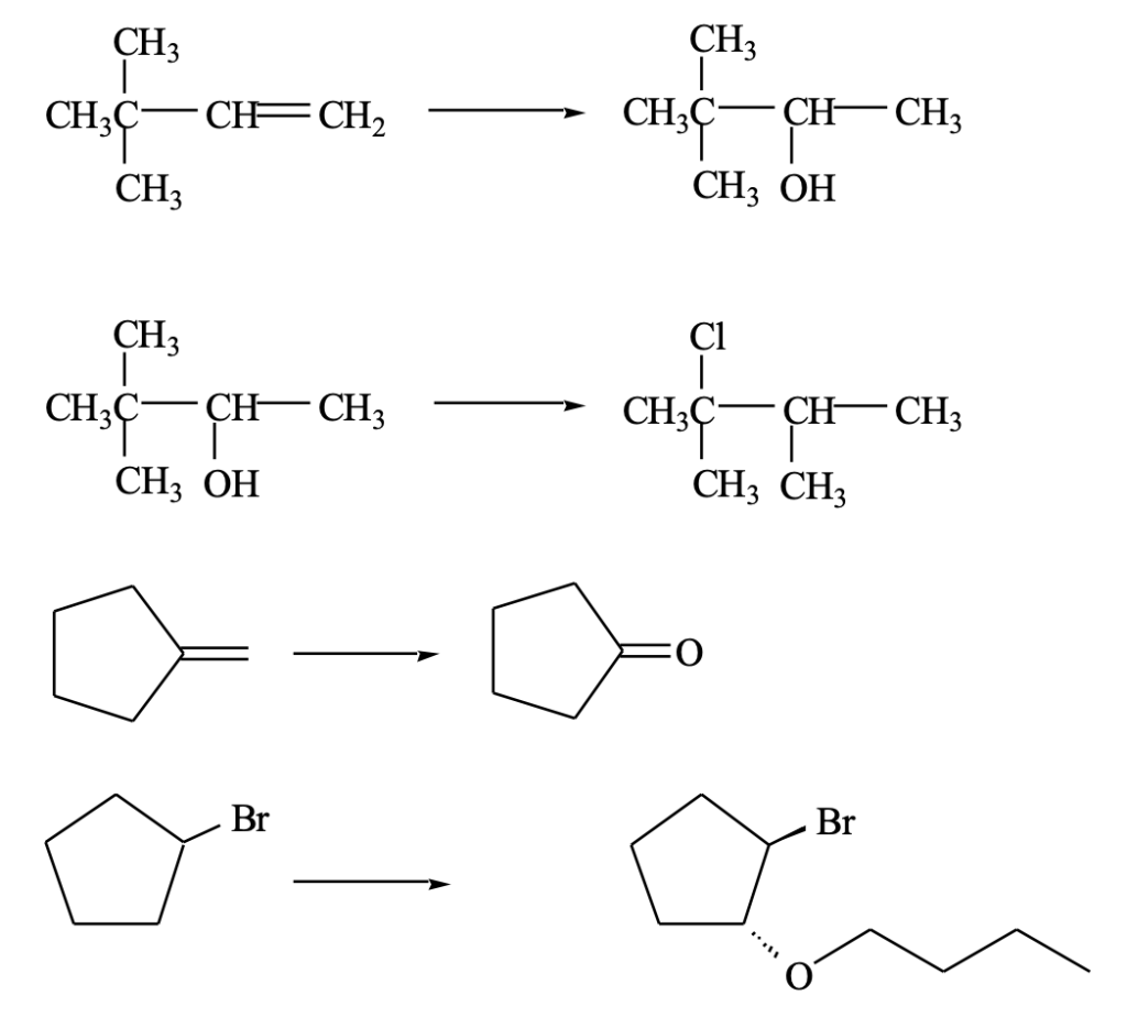
Esercizio n. 1
Completare le seguenti trasformazioni ipotizzando uno o più passaggi:

Esercizio n. 2
Quali tra le seguenti trasformazioni non produrranno butanammide?

Esercizio n. 3
Proporre un meccanismo per la seguente trasformazione

Esercizio n. 4
I feromoni sono composti organici importanti in agricoltura, in quanto rappresentano uno dei mezzi per attrarre e intrappolare gli insetti che potrebbero essere dannosi per i raccolti. L’oleano, il feromone sessuale per la mosca dell’ulivo, Dacus oleae, può essere sintetizzato dall’etere idrossienolico mostrato mediante trattamento di quest’ultimo con un acido.

Esercizio n. 1
L’isoniazide, un farmaco usato per curare la tubercolosi, viene preparata dall’acido 4-piridin carbossilico. Come potrebbe essere effettuata la sintesi?

Esercizio n. 2
Suggerire come trasformare il fenilacetilene in fenilacetato di allile

Esercizio n. 3
La reazione di un cicloesene trisostituito con bromo per formare un bromolattone è uno dei passaggi nella sintesi della PGE1 (prostaglandina E1, alprostadil). Proporre un meccanismo per la formazione di questo bromolattone e giustificare la stereochimica osservata per ciascun sostituente sull’anello cicloesanico.

Esercizio n. 4
I barbiturici sono preparati mediante una reazione di un derivato del dietilmalonato con urea in presenza di etossido di sodio come catalizzatore. Viene mostrata qui di seguito un’equazione per la preparazione del barbitale, un ipnotico e sedativo di lunga durata, partendo ad dietilmalonato dietilico e urea. Proporre un meccanismo per questa reazione.

Esercizio n. 5
Il seguente composto appartiene alla famiglia delle β-clorammine, molte delle quali hanno attività antitumorale. Descrivere una sintesi di questo composto da acido antranilico e ossido di etilene.

Esercizio n. 1
Suggerire gli opportuni reagenti necessari per convertire ciascuno dei seguenti materiali di partenza nel prodotto indicato:
a) cloruro di acetile in anidride acetica esanoica
b) esanoato di metile in N-metilesanammide
c) cloruro di esanoile in esanale
d) esanonitrile in acido esanoico
e) esanammide in esanammina
f) esanoato di etile in 3-etil-3-ottanolo
g) esanonitrile in 1-fenil-1-esanone
Esercizio n. 2
Indicare il prodotto di ciascuna delle seguenti reazioni:

Esercizio n. 3
Scrivere la reazione del pentanoato di etile con ciascuno dei seguenti reagenti nelle condizioni indicate:
a) NaOH, H2O, calore; poi H3O+, H2O
b) (CH3)2CHCH2CH2OH (eccesso), H3O+
c) (CH3CH2)2NH, calore
d) CH3MgI (eccesso), Et2O; poi H3O+, H2O
e) LiAlH4 (eccesso), Et2O; poi H3O+, H2O
f) DIBAL, toluene, -78°C; poi H3O+, H2O
Esercizio n. 4
Scrivere la reazione del γ-valerolattone con ciascuno dei reagenti dell’esercizio n. 3
Esercizio n.5

Scrivere il prodotto (o i prodotti) della reazione dell’anidride butandioica (anidride succinica) con i seguenti reagenti:
a) 2-propanolo
b) ammoniaca
c) bromuro di fenilmagnesio in THF; poi H3O+, H2O
d) LiAlH4 in etere etilico; poi H3O+, H2O
Esercizio n.6
Illustrare una sintesi per i seguenti acidi carbossilici. Quale tra essi potrebbe essere sintetizzato alternativamente via Grignard (reattivo di Grignard + CO2) e via nitrili?
a) acido fenilacetico
b) acido 3-butenoico
c) acido esanoico
d) acido 2,2-dimetilpentanoico
e) acido 4-metilbenzoico
Esercizio n. 7
Quale sintesi, via Grignard o via nitrile, potrebbe essere utile per sintetizzare l’acido 5-idrossipentanoico a partire dal 4-bromo-1-butanolo? Perchè?
Esercizio n. 8
L’idrolisi basica del mesitoato di metile ha luogo attraverso un attacco promosso dallomione alcossido a livello del carbonio alcolico anzicchè acilico. Quale potrebbe essere una motivazione che giustifichi questo comportamento inusuale?

Il paracetamolo, N-(4-idrossifenil)acetammide, è un farmaco ad azione analgesica ed antipiretica molto utilizzato. Tachipirina ed Efferalgan sono i nomi commerciali più conosciuti dei farmaci che lo contengono.
In questa esercitazione il paracetamolo è preparato per acetilazione selettiva del gruppo amminico del 4-amminofenolo con anidride acetica in H2O.

4-amminofenolo anidride acetica N-(4-idrossifenil)acetammide acido acetico
Se una molecola organica contiene due o più gruppi funzionali, dobbiamo scegliere solo un suffisso per attribuire il nome; non è corretto utilizzare due o più suffissi.
As esempio l’amminoalcol 1 deve essere nominato come un alcol con il suffisso -olo o come un’ammina con il suffisso -ammina ma non può avere il suffisso -oloammina o -amminolo.

L’unica eccezione a questa regola è quando bisogna dare un nome si un composto che ha un doppio e/o un triplo legame: in questo caso si utilizza il nome alchenino dando alle insaturazioni il numero più basso. In caso di parità la priorità spetta al doppio legame.

L’alcol insaturo si chiamerà ott-4-en-2-olo, mentre l’ammina insatura ott-7-in-2-ammina:

Come scegliamo quale suffisso utilizzare? I gruppi funzionali sono divisi in due classi, gruppi principali e gruppi subordinati, come mostrato nella tabella seguente. I gruppi principali possono essere citati sia come prefissi sia come suffissi, mentre i gruppi subordinati sono citati solo come prefissi. All’interno dei gruppi principali, è stata stabilita un ordine di priorità: il suffisso corretto per una data molecola è determinato scegliendo il gruppo principale di massima priorità. Ad esempio, la tabella seguente indica che l’amminoalcol 1 dovrebbe essere nominato come un alcol piuttosto che come ammina perché un gruppo funzionale dell’alcol è di maggiore priorità rispetto a un’ammina.
Composti organici elencati in base all’ordine di priorità dei gruppi funzionali



Il nome parentale, o base, di un composto organico polifunzionale è di solito facile da identificare. Se il gruppo prioritario fa parte di una catena aciclica, il nome base è quello della catena più lunga che contiene il gruppo prioritario, indipendentemente dalla presenza di altri gruppi funzionali o di insaturazioni; se il gruppo principale prioritario si trova su un ciclo, sarà il ciclo ad avere il nome base e le catene lineari, anche se più lunghe, saranno nominate come sostituenti.

Ricorda che a parità di gruppo funzionale, il ciclo ha sempre la priorità, indipendentemente dal numero di carboni della catena lineare o dalla presenza di insaturazioni o di altri gruppi funzionali.

Con il nome base e il suffisso stabilito, il passo successivo è identificare e assegnare numeri a tutti i sostituenti sulla catena principale o sull’anello. I sostituenti includono tutti i gruppi alchilici e tutti i gruppi funzionali diversi da quello citato nel suffisso.

Ognuno di questi acidi contiene più gruppi funzionali. Poiché il gruppo carbossile è prioritario, la catena più lunga deve contenre il gruppo carbossilico; inoltre, bisogna numerare dall’estremità più vicina al gruppo funzionale prioritario.
Nel caso di acidi carbossilici contenenti altri gruppi carbonilici, il gruppo carbossilico è sempre il gruppo prioritario
Derivati di acidi carbossilici come sostituenti:

Esempi:

Esempi di acidi carbossilici contenenti cicli:

Altri esempi di nomenclatura di composti polifunzionali:

Esercizio n. 1
Assegna il nome IUPAC ai seguenti composti carbonilici

Esercizio n. 2
Assegna il nome IUPAC ai seguenti derivati degli acidi carbossilici

Esercizio n. 1
Assegna il nome IUPAC ai seguenti derivati degli acidi carbossilici



Di seguito sono riportati i risultati della terza prova intercorso di Chimica Organica. I colori indicano il punteggio della media delle quattro prove intercorso.


Di seguito sono riportati i risultati della prova di recupero di Chimica Organica.

CORREZIONE ESERCIZI BLOG – VENERDI’ 9 GENNAIO ORE 11,00 – AULA B2
PROVA INTERCORSO – LUNEDI’ 12 GENNAIO ORE 14,00 – AULA B2
You must be logged in to post a comment.