Category Archives: Chimica Organica – Farmacia

Esercizi un po’ più impegnativi sui composti carbonilici

Esercizio n. 1

Scrivere il meccanismo della seguente reazione indicando tutti i reagenti necessari:

Esercizio n. 2

Proporre un meccanismo per la seguente isomerizzazione:

Esercizio n. 3

Scrivere il meccanismo della seguente reazione indicando tutti i reagenti necessari. Nel primo stadio è possibile utilizzare la trietilammina.

Esercizio n. 4

Scrivere il prodotto della seguente reazione illustrandone il meccanismo:

Esercizio n. 5

Scrivere il meccanismo della seguente reazione. In qualche passaggio potrebbe essere necessario prevedere l’aggiunta di acido (pH 5).

Enoli ed enolati 3. Sintesi

Esercizio n. 1

Mostrare come convertire l’acido benzoico in 3-metil-1-fenil-1-butanone usando una condensazione di Claisen in qualche stadio della sintesi:

Esercizio n. 2

I seguenti composti sono prodotti di condensazione. Individuare i reagenti che hanno portato alla loro sintesi:

Esercizio n. 3

Proporre la sintesi dei seguenti composti utilizzando la reazione di anellazione di Robinson:

Esercizio n. 4

Descrivere in che modo possa essere sfruttata la sintesi acetoacetica per la preparazione dei seguenti composti:

a. 2-pentanone

b. 3-propil-2-esanone

c.4-fenil-2-butanone

Esercizio n. 5

Ipotizzare un meccanismo che spieghi la sintesi del 4-eptanone a partire dal butanoato di etile.

Esercizio n. 6

Come potrebbe essere sfruttata la sintesi acetoacetica per la preparazione del seguente composto?

Esercizio n. 7

Descrivere in che modo possa essere sfruttata la sintesi malonica per la preparazione dei seguenti composti:

a. acido pentanoico

b. acido 2-metilpentanoico

c. acido 4-metilpentanoico

Esercizio n. 8

Una sintesi piuttosto insolita degli steroidi correlati al cortisone include le due reazioni riportate di seguito

a. proporre dei meccanismi per queste due trasformazioni. Attenzione nell’individuazione del sito iniziale di deprotonazione dell’enone di partenza.

b. Proporre una sequenza di reazioni che a partire dall’ultima struttura precedentemente mostrata permetta di ottenere il seguente prodotto:

Composti carbonilici: Esercizi ricapitolazione

Esercizio n. 1

La seguente sintesi degli steroidi contiene delle versioni modificate di due tipologie di reazioni che sono state studiate nel capitolo degli “enoli ed enolati”. Identificare queste tipologie e scrivere i meccanismi dettagliati per le due trasformazioni illustrate di seguito:

Esercizio n. 2

Il fentanil è un analgesico non oppioide usato nel trattamento di dolori particolarmente intensi. Nell’uomo è approssimativamente 50 volte più potente della morfina stessa. In una sintesi del fentanil si parte dalla 2-feniletanammina:

Proporre i reagenti degli stadi 1-6, indicando il tipo di reazione che avviene in ogni stadio. Proporre, inoltre un meccanismo di reazione per ogni stadio.

Esercizio n. 3

La condensazione tra ftalato di dietile e acetato di etile, seguita da saponificazione, acidificazione e decarbossilazione, produce un dichetone di formula C9H6O2. Proporre un meccanismo per questa reazione e la formula di struttura del prodotto finale.

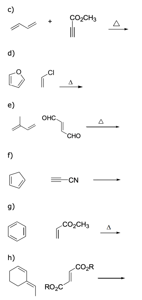
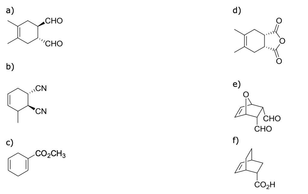
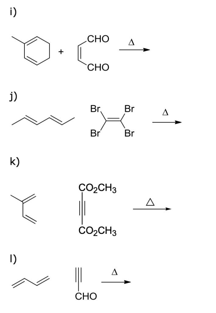
ENOLI ED ENOLATI 2

Esercizio n. 1

Dare una spiegazione delle seguenti trasformazioni. Proporre un meccanismo che giustifichi i prodotti ottenuti nelle diverse condizioni di reazione.

Esercizio n. 2

Scrivere i prodotti delle seguenti reazioni. Proporre un meccanismo di azione plausibile.

Esercizio n. 3

Proporre un meccanismo per la seguente trasformazione.

Esercizio n. 4

Scrivere il meccanismo delle seguenti reazioni indicando le strutture delle specie A, B, C, D, E, F, G e H.

Reazione 1

Reazione 2

Esercizio n. 5

Scrivere il meccanismo delle seguenti reazioni indicando le strutture delle specie A, B, C

LABORATORIO DI CHIMICA ORGANICA 2025/26

Gli studenti per i giorni 16 e 17 aprile sono convocati in laboratorio didattico alle ore 14:30

Ogni studente deve portare con sé:

  • un camice (ignifugo e antiacido),
  • un quaderno di laboratorio (uno per gruppo, formato A4 a quadretti),
  • penna, matita e righello.

Prima di accedere al laboratorio, ogni studente deve studiare la dispensa e gli argomenti teorici trattati nella lezione teorica che precede sempre ogni esercitazione pratica.
Gli studenti assenti alla lezione teorica non potranno partecipare all’esercitazione pratica, e l’assenza sarà conteggiata nel limite massimo del 25% di assenze consentite.

All’ingresso in laboratorio, ogni studente deve aver già elaborato sul proprio quaderno la scheda pre-lab, secondo le modalità indicate nel materiale pubblicato sul blog al link:

La scheda pre-lab deve contenere:

  • Data: giorno/mese/anno
  • Titolo: deve evidenziare in modo sintetico ed efficace l’oggetto dell’esperienza.
  • Introduzione: presentazione del lavoro, con indicazione dell’obiettivo dell’esperienza. Può includere riferimenti a ricerche precedenti, informazioni teoriche e/o elementi utili a contestualizzare lo studio.
  • Equazione chimica bilanciata (se possibile): scrivere la reazione e la relativa stechiometria.
  • Materiali e metodi: testo descrittivo che illustri, con linguaggio tecnico appropriato, le modalità operative. Se opportuno, è possibile aggiungere schemi che riassumano visivamente l’iter sperimentale.
  • Tabella dei reagenti: riportare in tabella i dati necessari all’esecuzione della reazione, tra cui:
    • nome dei reagenti iniziali,
    • dati fisici (punto di fusione p.f. °C, punto di ebollizione p.e. °C/torr, densità g/mL),
    • quantità utilizzate (grammi, millilitri, moli).
  • Resa teorica (dove richiesto): calcolare la quantità di prodotto attesa sulla base della conversione quantitativa del reagente limitante (quello in difetto). Riportare i calcoli eseguiti.
  • Meccanismo (dove possibile): rappresentare il meccanismo della reazione, evidenziando gli eventuali intermedi.
  • Procedura: elencare in punti le fasi sperimentali e fornire la lista della vetreria e delle apparecchiature necessarie.

Nota bene:
Non è necessario – né consentito – copiare nel quaderno il testo della dispensa dell’esperienza. Per comodità, è possibile incollare la dispensa nel quaderno, nelle pagine precedenti la scheda pre-lab.

Le schede saranno controllate dal docente durante l’esercitazione.

Estrazione dei salicilati dalla corteccia di salice, idrolisi acida dei derivati e identificazione dell’acido salicilico mediante TLC

Scopo dell’esperienza è isolare i salicilati naturali presenti nella corteccia di salice, in particolare la salicina, e convertirli mediante idrolisi acida in acido salicilico. Il composto ottenuto viene quindi estratto, purificato e identificato tramite cromatografia su strato sottile (TLC). L’esperienza introduce alle principali tecniche di laboratorio di chimica organica (riflusso, estrazione liquido-liquido, purificazione ed analisi cromatografica) e mette in evidenza il legame tra prodotti naturali e farmaci di interesse terapeutico, preparando il materiale per la successiva sintesi dell’acido acetilsalicilico.

Acidità degli idrogeni alfa

Esercizio n. 1

Individuare gli idrogeni acidi nei seguenti composti; nel caso di più idrogeni acidi (divcersi tra loro) stabilire un ordine crescente di acidità.

Esercizio n. 2

Potrebbero i due chetoni otticamente attivi mostrati di seguito andare incontro a racemizzazione a seguito di una catalisi acida o basica? Motivare la risposta.

Esercinio n.3

Quando il 2-metil-1-fenilbutan-1-one è trattato con OD- o con D3O+ in presenza di D2O, esso subisce uno scambio idrogeno-deuterio formando il seguente composto:

Proporre un meccanismo che giustifichi tale comportamento.

Esercizio n. 4

Scrivere il meccanismo per l’epimerizzazione del cis-decalone in trans-decalone che ha luogo in presenza di etossido di sodio in etanolo. Utilizzando le conformazioni a sedia, stabilire perchè il trans-decalone è più stabile del cis-decalone. A tal fine potrebbe essere utile realizzare dei modellini molecolari pe ri due isomeri geometrici.

Esercizio n. 5

Perché per l’alogenazione dei chetoni in ambiente basico è più corretto parlare in termini di “promossa dalle basi” piuttosto che in termini di “base-catalizzata”? Quale base deve essere utilizzata per ottenere buone rese di reazione?

Carboidrati

Esercizio n. 1

Convertire la seguente proiezione di Haworth nella sua conformazione a sedia più stabile

Esercizio n. 2

Basandosi sul nome, quale dei seguenti zuccheri non ha un gruppo aldeidico?

A) Idosio

B) Tagatosio

C) Fucosio

D) Xilulosio

E) Cellobiosio

Esercizio n. 3

Il D-xilulosio è un chetopentoso. La sua riduzione con NaBH4 produce D-xilitolo (otticamente inattivo) e D-lixitolo (otticamente attivo). L’altro chetopentoso è il D-ribulosio che produce, in seguito a riduzione, D-ribitolo (otticamente inattivo) e D-lixitolo (sinonimo: D-arabinitolo). Scrivere le strutture dei due chetopentosi e dei tre alditoli che si ottengono dalla loro riduzione.

Esercizio n. 4

Quale dei seguenti zuccheri è un eptulosio?

Esercizio n. 5

Scrivere la struttura di Haworth:

A) del beta-D-ribopiranosio. Il nome IUPAC del D-ribosio è (2R,3R,4R)-2,3,4,5-tetraidrossipentanale.

B) beta-D-arabinofuranosio. Il nome IUPAC del D-arabinosio è (2S,3R,4R)-2,3,4,5-tetraidrossipentanale.

Esercizio n. 6

Scrivere l’epimero in 4 dell’ L-mannosio in struttura lineare e in proiezione di Haworth. Assegnare la configurazione assoluta ai carboni C-3 e C-4. Il mannosio è l’epimero al carbonio 2 del glucosio

Esercizio n. 7

Il D-allosio è l’epimero al C3 del D-glucosio. Un altro epimero del D-glucosio, il D-galattosio, quando viene ridotto con NaBH4, produce il D-galattitolo che è un composto non otticamente attivo. Motivando queste affermazioni,  disegnare la struttura del D-galattosio e del D-allosio

Esercizio n. 8

Disegnare la proiezione di Haworth e una conformazione a sedia del metil alfa-D-mannopiranoside (mannosio: epimero al C2 del glucosio).

« Older Entries