Notazioni E/Z e R/S
Esercizio n. 1
Assegnare la configurazione assoluta ai carboni chiari evidenziati nelle seguenti strutture tridimensionali

Esercizio n. 2
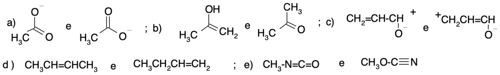
Classificare le seguenti coppie di strutture come stereoisomeri, conformeri o isomeri strutturali

Esercizio n. 3
Attribuire le configurazioni R o S a ciascuno dei seguenti composti. Trasformare le strutture tridimensionali in proiezioni di Fisher.

Esercizio n. 4
Per ognuna delle seguenti molecole indicare se è chirale o achirale. Nel caso di molecole chiari, indicare il numero di centri chirali

Esercizio n. 5
Assegna la configurazione E/Z ai doppi legami presenti nelle seguenti molecole

Esercizio n. 6
Assegna la configurazione E/Z ai doppi legami dei seguenti composti

















You must be logged in to post a comment.