Tag Archives: WOC22

Esercizio opzionale IV prova

Suggerimenti:
1. Mostrare i primi passaggi della reazione utilizzando una rappresentazione a sedia della porzione della molecola costituita dal cicloesanone. Potete anche “sottintendere” la presenza dell’altro anello in questa fase, indicandolo nel modo seguente:

2. Ragionare sempre in riferimento alla reazione tra un nucleofilo ed un elettrofilo piuttosto che per schemi predefiniti. Analogamente, considerare eventuali reazioni acido-base che possono avvenire.

3) Considerare anche i vari fattori che possono stabilizzare o, al contrario, rendere meno stabili gli intermedi eventualmente formati nel corso della reazione!

Surprise challenge…

Regolamento:

  • Vincerà la sfida chi risponderà per primo CORRETTAMENTE al seguente quesito.
  • La risposta dovrà essere postata nel seguente modo: bisognerà inserire nei commenti al post la descrizione sintetica del meccanismo proposto e contestualmente inviare una foto del meccanismo via email. Risposte per le quali mancherà una delle due cose non saranno ritenute valide.
  • Ognuno può rispondere solo una volta (anche in presenza di più di un commento pubblicato dalla stessa persona, soltanto il primo sarà preso in considerazione).
  • Il tempo massimo a disposizione sarà di 24h dalla pubblicazione del post.
  • Il vincitore (6 pt) sarà annunciato a lezione.

Suggerimenti:
1. Mostrare i primi passaggi della reazione utilizzando una rappresentazione a sedia della porzione della molecola costituita dal cicloesanone. Potete anche “sottintendere” la presenza dell’altro anello in questa fase, indicandolo nel modo seguente:

2. Ragionare sempre in riferimento alla reazione tra un nucleofilo ed un elettrofilo piuttosto che per schemi predefiniti. Analogamente, considerare eventuali reazioni acido-base che possono avvenire.

3) Considerare anche i vari fattori che possono stabilizzare o, al contrario, rendere meno stabili gli intermedi eventualmente formati nel corso della reazione!

Weekend Organic Chemistry Challenge

Regolamento:

  • Vincerà la sfida chi risponderà per primo CORRETTAMENTE al seguente quesito
  • La risposta dovrà essere postata nei commenti
  • Ognuno può rispondere solo una volta (anche in presenza di più di un commento pubblicato dalla stessa persona, soltanto il primo sarà preso in considerazione).
  • Il tempo massimo a disposizione sarà di 24h dalla pubblicazione del post.
  • Il vincitore (2 punti) sarà annunciato lunedì a lezione.

Attribuire il nome IUPAC, comprensivo di stereochimica, al seguente composto:

Weekend Organic Chemistry Challenge

Regolamento:

  • Vincerà la sfida chi risponderà per primo CORRETTAMENTE al seguente quesito
  • La risposta dovrà essere postata nel seguente modo: bisognerà dire nei commenti al post cosa sono A/B/C e, per ciascuna reazione, quali sono i prodotti che costituiscono il substrato della reazione successiva (nomi IUPAC comprensivi di stereochimica). Contestualmente sarà necessario inviare una foto del meccanismo di reazione alla docente via e-mail. Risposte per le quali mancherà una delle due cose non saranno ritenute valide.
  • Ognuno può rispondere solo una volta (anche in presenza di più di un commento pubblicato dalla stessa persona, soltanto il primo sarà preso in considerazione).
  • Il tempo massimo a disposizione sarà di 24h dalla pubblicazione del post.
  • Il vincitore (4 punti) sarà annunciato mercoledì a lezione.

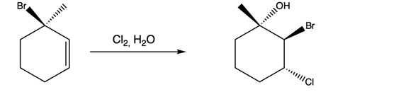
Proporre un meccanismo per la seguente trasformazione:

NB: dalla seconda reazione si otterranno diversi prodotti principali. Tra questi andrà “isolato” l’unico composto che darà il prodotto finale come UNICO prodotto di reazione.

Ogni freccia indica una reazione. I nomi IUPAC da indicare nella risposta sono solo quelli dei prodotti di ciascuna reazione che sono poi i reagenti della rezione successiva.

Weekend Organic Chemistry Challenge

Regolamento:

  • Vincerà la sfida chi risponderà per primo CORRETTAMENTE al seguente quesito
  • La risposta dovrà essere postata nel seguente modo: bisognerà inserire il proprio nome nei commenti al post e contestualmente inviare una foto del meccanismo di reazione al docente via e-mail. Risposte per le quali mancherà una delle due cose non saranno ritenute valide.
  • Ognuno può rispondere solo una volta (anche in presenza di più di un commento pubblicato dalla stessa persona, soltanto il primo sarà preso in considerazione).
  • Il tempo massimo a disposizione sarà di 24h dalla pubblicazione del post.
  • Il vincitore (4 punti) sarà annunciato lunedì a lezione.

Proporre un meccanismo per la seguente trasformazione:

Weekend Organic Chemistry Challenge

Regolamento:

  • Vincerà la sfida chi risponderà per primo CORRETTAMENTE al seguente quesito
  • La risposta dovrà essere inserita come commento al post.
  • Ognuno può rispondere solo una volta (anche in presenza di più di un commento pubblicato dalla stessa persona, soltanto il primo sarà preso in considerazione).
  • Il tempo massimo a disposizione sarà di 24h dalla pubblicazione del post.
  • Il vincitore (2 punti) sarà annunciato lunedì a lezione.

Gli acidi alogenidrici reagiscono con gli alcheni per dare alogenuri alchilici. A parità di condizioni di reazione, ciascun acido alogenidrico reagirà con un determinato alchene con velocità diverse. Proporre un ordine crescente di velocità di reazione dei diversi acidi alogenidrici con uno stesso alchene a parità di condizioni di reazione (incluse le concentrazioni dei reagenti) e motivare la scelta.

Weekend Organic Chemistry Challenge

Regolamento:

  • Vincerà la sfida chi risponderà per primo CORRETTAMENTE alle seguenti domande
  • La risposta dovrà essere inserita come commento al post.
  • Ognuno può rispondere solo una volta (anche in presenza di più di un commento pubblicato dalla stessa persona, soltanto il primo sarà preso in considerazione).
  • Il tempo massimo a disposizione sarà di 24h dalla pubblicazione del post.
  • Il vincitore (4 punti) sarà annunciato mercoledì a lezione.

L’efedrina è un alcaloide simpaticomimetico (=mima gli effetti dei neurotrasmettitori del sistema nervoso simpatico) con effetti simili a quelli dell’adrenalina. Era in passato usata come decongestionante nasale e nel trattamento dell’asma. Inoltre, è noto il suo uso in prodotti atti ad accelerare il metabolismo e il suo abuso, in virtù dell’azione stimolante sul sistema nervoso centrale. Ad alte dosi causa allucinazioni, paranoia e psicosi. Inoltre, è utilizzata come precursore nella sintesi della metanfetamina.
In realtà, questa molecola ha due carboni chirali, di conseguenza può esistere sotto forma di 4 stereoisomeri.

Gli enantiomeri eritro sono noti come efedrina, mentre la coppia di enantiomeri treo come pseudoefedrina. Due degli stereoisomeri, la (1R,2S)-(-)-efedrina e la (1S,2S)-(+)-pseudoefedrina sono stati riportati da piante del genere Ephedra.

1) Quali saranno gli altri due stereoisomeri?

2) Immaginiamo di aver ottenuto i due stereoisomeri «naturali» dalla pianta. Saremo in grado di separarli con le classiche tecniche cromatografiche o comunque con tecniche che sfruttano le proprietà fisiche delle molecole per separarle?

3) Ora immaginiamo di aver provato a sintetizzare l’efedrina e la pseudoefedrina in laboratorio e di osservare due segnali nel corso dell’analisi cromatografica della miscela ottenuta (indice della presenza di almeno due composti diversi). Dopo aver separato queste due frazioni che generavano i due segnali, ne determiniamo l’ [a]D e osserviamo un valore pari a 0 per entrambe. Quale sarà la spiegazione?

4) Ora immaginiamo di aver ottenuto, da una reazione diversa, ugualmente una miscela che dia due segnali in un’analisi cromatografica, ma che le due frazioni ottenute diano valori di [a]D  rispettivamente pari a – 12,5 (frazione A) e  + 24,5 (frazione B). Sulla base di tutta una serie di analisi, si è concluso che la frazione A contiene efedrina e la frazione B pseudoefedrina. Come spieghiamo questo risultato, considerando che [a]D per la (-)-efedrina è pari a -35,5° e per la (+)-pseudoefedrina è pari a +63,5?

5) Considerando i  dati sperimentali e i valori di [a]D  per gli enantiomeri puri riportati nel punto 4, quale sarà la composizione delle miscele precedentemente indicate come frazione A e frazione B?

Halloween Organic Chemistry Challenge

Regolamento:

  • Vincerà la sfida chi risponderà per primo CORRETTAMENTE ai seguenti quesiti.
  • La risposta va inserita nei commenti al post.
  • Ognuno può rispondere solo una volta (anche in presenza di più di un commento pubblicato dalla stessa persona, soltanto il primo sarà preso in considerazione).
  • Il tempo massimo a disposizione sarà di 24h dalla pubblicazione del post.
  • Il vincitore sarà annunciato mercoledì a lezione (questa volta in palio ci sono 3 punti).

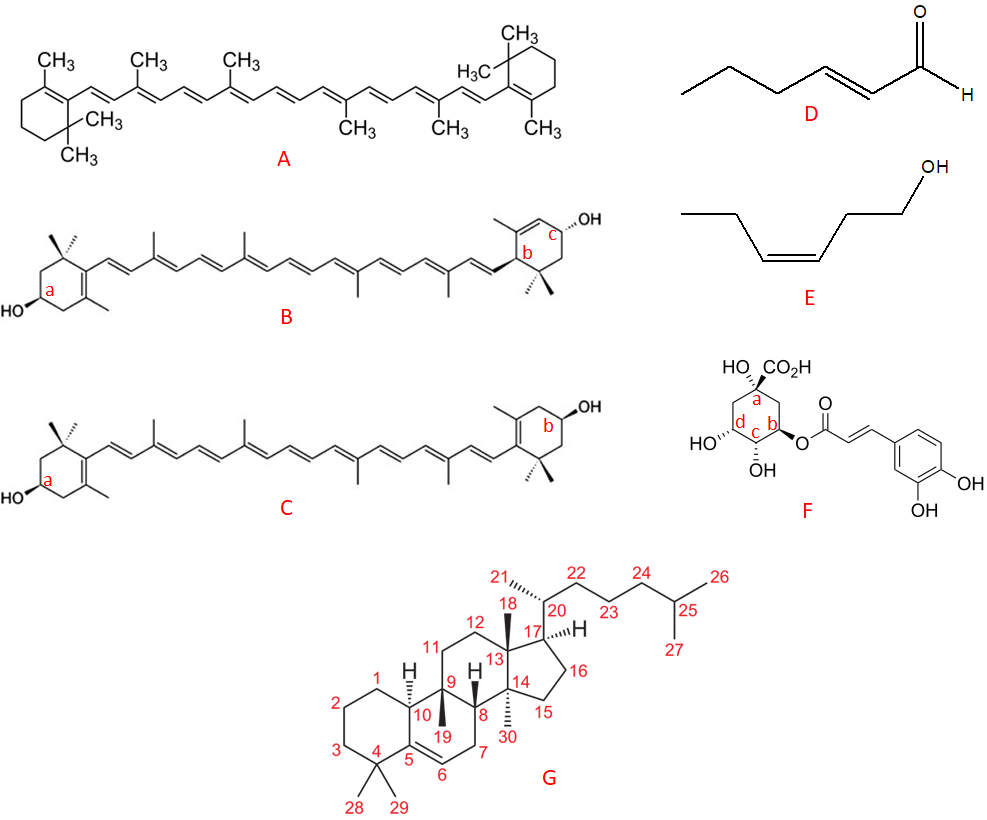
Guarda le seguenti molecole e poi definisci la stereochimica seguendo le indicazioni riportate sotto

1. Definisci la geometria dei doppi legami in A/D/E

2. Determina la configurazione assoluta dei carboni indicati da una lettera nei composti B/C/F

3. Individua i carboni chirali in G ed attribuisci ad essi la configurazione assoluta

Le risposte vanno riportate in maniera schematica!

Dopo la chiusura della sfida, scopriremo cosa sono questi composti

Weekend Organic Chemistry Challenge

Regolamento:

  • Vincerà la sfida chi risponderà per primo CORRETTAMENTE
  • La risposta dovrà essere inserita come commento al post.
  • Ognuno può rispondere solo una volta (anche in presenza di più di un commento pubblicato dalla stessa persona, soltanto il primo sarà preso in considerazione).
  • Il tempo massimo a disposizione sarà di 24h dalla pubblicazione del post.
  • Il vincitore (3 punti) sarà annunciato mercoledì a lezione.

Osservare le due strutture qui sotto. Mentre per il composto a, il conformero più stabile sarà quello con tutti i sostituenti in equatoriale, nel caso del composto b, inaspettatamente, i sostituenti preferiscono la posizione assiale. Fornire una spiegazione plausibile.

Si raccomanda l’utilizzo della terminologia tecnica adeguata!

Weekend Organic Chemistry Challenge

La prima prova è alle spalle, ma la nomenclatura sarà un argomento fondamentale anche della prova intercorso. Facciamo un po’ di allenamento.

Regolamento:

  • Vincerà la sfida chi risponderà per primo CORRETTAMENTE
  • La risposta dovrà essere inserita come commento al post.
  • Ognuno può rispondere solo una volta (anche in presenza di più di un commento pubblicato dalla stessa persona, soltanto il primo sarà preso in considerazione).
  • Il tempo massimo a disposizione sarà di 24h dalla pubblicazione del post.
  • Il vincitore (2 punti) sarà annunciato lunedì a lezione.

Assegnare il nome sistematico IUPAC al seguente composto

« Older Entries