Tag Archives: WOC22

Weekend Organic Chemistry Challenge – EXTRA

Regolamento:

  • Vincerà la sfida chi risponderà per primo CORRETTAMENTE
  • La risposta dovrà essere inserita come commento al post.
  • Ognuno può rispondere solo una volta (anche in presenza di più di un commento pubblicato dalla stessa persona, soltanto il primo sarà preso in considerazione).
  • Il tempo massimo a disposizione sarà di 24h dalla pubblicazione del post.
  • Il vincitore (2 punti) sarà annunciato lunedì a lezione.

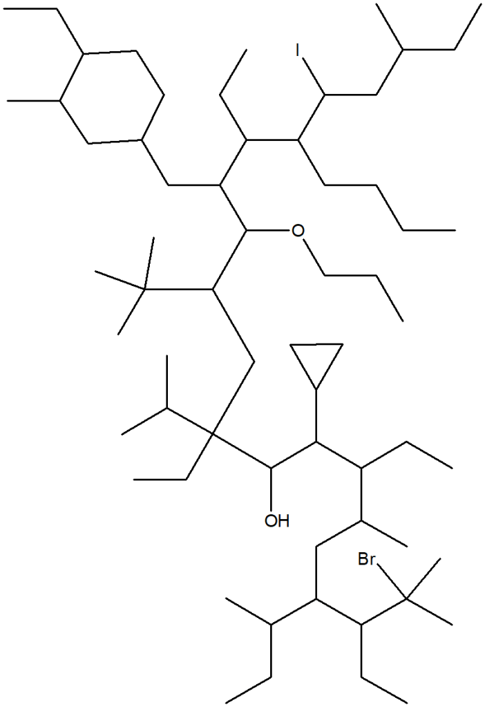
Assegnare il nome sistematico IUPAC al seguente composto

Weekend Organic Chemistry Challenge

Regolamento:

  • Vincerà la sfida chi risponderà per primo CORRETTAMENTE ai seguenti quesiti
  • La risposta dovrà essere inserita come commento al post.
  • Ognuno può rispondere solo una volta (anche in presenza di più di un commento pubblicato dalla stessa persona, soltanto il primo sarà preso in considerazione).
  • Il tempo massimo a disposizione sarà di 24h dalla pubblicazione del post.
  • Il vincitore (2 punti) sarà annunciato lunedì a lezione.

Acido citrico, malico e tartarico sono importanti acidi organici. I primi due sono coinvolti in diverse vie metaboliche fondamentali per tutti gli organismi viventi. Tutti e tre sono relativamente abbondanti in diversi frutti. L’acido citrico è abbondante negli agrumi, il malico nella mela e il tartarico nell’uva. Questi acidi, insieme ad altri acidi organici, sono anche importanti nel determinare l’acidità dei vini.

Questi tre composti sono caratterizzati dalla presenza di gruppi carbossilici (-COOH), che nella figura sono indicati con diverse lettere (a-g). In particolare, nell’acido citrico ci sono 3 gruppi COOH, mentre negli altri acidi i gruppi COOH sono 2.

Abbiamo già incontrato gli acidi carbossilici e abbiamo visto come la base coniugata è stabilizzata per risonanza. Infatti, l’acido acetico (CH3COOH) ha un pka pari a 4.76, mentre l’etanolo (CH3CH2OH) ha un pka pari a 15,9.

Osservare le tre strutture e:

1) Individuare, in ciascun composto, il gruppo carbossilico che presenta l’idrogeno più acido, ossia quello cui si riferisce il pKa1.  
Riportare la risposta semplicemente elencando le lettere che indicano i 3 gruppi in questione nella figura.

2) Spiegare sinteticamente perché, per tutti e tre gli acidi, i valori di pKa2 (e pKa3, nel caso dell’acido citrico) sono più elevati rispetto al valore di pKa1.

3) Confrontare acido citrico, malico e tartarico e spiegare sinteticamente perché questi tre acidi hanno valori di pKa1  diversi.

4) Ipotizzare quale sarà la forma predominante (acida o basica) di questi acidi organici nel flusso sanguigno.

Weekend Organic Chemistry Challenge

Regolamento:

  • Vincerà la sfida chi risponderà per primo CORRETTAMENTE ai seguenti quesiti
  • La risposta dovrà essere inserita come commento al post.
  • Ognuno può rispondere solo una volta (anche in presenza di più di un commento pubblicato dalla stessa persona, soltanto il primo sarà preso in considerazione).
  • Il tempo massimo a disposizione sarà di 12h dalla pubblicazione del post.
  • Il vincitore (1 punto) sarà annunciato lunedì a lezione.

1) Di seguito sono mostrati un carbocatione e un carbanione. Confrontarli e dire se i legami C-C hanno o meno la stessa lunghezza ed argomentare BREVEMENTE (usando non più di 50 parole).

2) Di seguito sono riportati due acidi carbossilici con i rispettivi valori di pKa. Come si può spiegare la differenza osservata? Usare non più di 30 parole.

3) Quanto misureranno gli angoli di legame C-C nella seguente molecola? 

SFIDA RIAPERTA

Coloro che hanno risposto nella giornata di ieri, potranno ora correggere eventuali errori.

Le regole sono le seguenti:

  • Potrete correggere SOLO il contenuto della risposta di UNO dei tre quesiti (e dovrete riportare solo quello nel nuovo commento).
  • Questa regola non si applica a coloro che hanno esagerato col numero di parole: in questo caso, potrete correggere la risposta anche di più quesiti, a patto che non si modifichi il significato del contenuto (per dirla diversamente, potrete modificare la FORMA, ma non la SOSTANZA).
  • Chi ha sforato con le parole e pensa di dover correggere anche il contenuto, potrà apportare la prima correzione (quella relativa al numero di parole) a tutti i quesiti e la seconda (quella relativa al contenuto) solo ad uno dei quesiti (in accordo con la prima regola).
  • Saranno prese in considerazione solo correzioni ai commenti già presenti. Ossia, chi non ha già partecipato, non potrà farlo ora.
  • La sfida si chiuderà nuovamente alle 13:00 di oggi, domenica, 9/10.

Suggerimenti:

  1. Nel secondo quesito, la presenza del doppio legame e il fatto che ci sia una piccola differenza di acidità tra i due composti sono i dati a vostra disposizione. Non serve ripeterlo. Bisogna, invece, spiegare in che modo la presenza del doppio legame ha un effetto sull’acidità…Ma ATTENZIONE! Individuate prima l’idrogeno più acido nella molecola…
  2. Il limite massimo di parole indicato nei quesiti (50 per il primo e 30 per il secondo) si basa sul fatto che quel numero di parole sono più che sufficienti. Quei limiti sono parte della sfida. È prevista una tolleranza di 5 parole. Chi ha superato (o supererà) di gran lunga questi limiti, non potrà essere preso in considerazione per la vittoria.

In bocca al lupo!

PS: Domani a lezione annunceremo l’eventuale vincitore e discuteremo i quesiti.

Recent Entries »