Author Archives: antoniofiorentino

AUTOVALUTAZIONE: ISOMERI CONFORMAZIONALI

Collegandoti al seguente link hai la possibilità di valutare la tua preparazione sugli isomeri conformazionali.

Il test ha una durata di 45 minuti. Alla fine riceverai il punteggio e potrai controllare le tue risposte.

Puoi accedere solo se sei uno studente @unicampania. Il nome dell’utente sarà registrato e visibile solo al docente del corso

RISULTATI PRIMA PROVA INTERCORSO – CdLM FARMACIA

Di seguito sono riportati i risultati della prima prova intercorso.
Gli studenti identificati con il colore verde hanno superato la prova con sufficienza (verde scuro voti più alti) e sono ammessi a sostenere la seconda prova intercorso.

Gli studenti identificati dai colori giallo e arancione hanno superato con riserva. Anche gli studenti che hanno superato con riserva sono ammessi a sostenere la seconda prova intercorso.

Per gli studenti indicati dai colori rosso e nero, di seguito riportati, la prova si intende non superataQuesti studenti non sono ammessi a sostenere la seconda prova intercorso.
Il nero indica una insufficienza gravissima (voto inferiore a 6/30)

AVVISO PRIMA PROVA INTERCORSO

Elenco degli studenti ammessi alla prima prova intercorso di Chimica Organica sulla base delle presenze a lezione:

Aula A2

A48002138 ALESSIA ALTIERI
A48002099 NICOLA ALTIERO
A48002100 SARA ALVINO
A48002118 NUNZIA AMATO
A48002072 ASJA ARENELLA
A48002050 FRANCESCO PIO ASPRONIO
A48002269 Simone Aprile
A48001702 MONICA BALIVO
A48002101 GAIA BEVELLINO
A48002087 CARMELA BIANCO
A48002256 PASQUALE BIONDILLO
A48002140 CHIARA BONAVOLONTA’
A48002141 ANGELA CAFARELLI
A48002144 ALESSIA CAIAZZA
A48001567 ANGELA CANTILE
A48002270 MARIANNA CAPONE
A48001438 LUISABEATRICE CASSANDRO
A48002011 VERONICA CASSER
A48002142 MARIANNA CASSESE
A48002143 MARTINA CASTAGNA
A48002190 GAIA DILETTA CENTORE
A48002191 GIULIA CIMMINO
A48002192 MARIA CIOFFO
A48002214 LUCIANO YURI COCCO
A48002104 ANNARITA CORONELLA
A48002122 LUISA CORONELLA
A48001924 ROBERTA COSTANZO
A48002229 FEDERICA COZZOLINO
A48002265 CATERINA CUCCURESE
A48002146 ALESSIA CURATOLO
A48001916 IGNAZIO DE CICCO
A48002206 ELIANA DE NEGRI
A48002097 AURORA DEL VECCHIO
A48002253 LAURA DI DONATO
A48001705 GIULIANA DI FUSCO
A48001795 ROSA DI GENNARO
A48001464 MYRIAM DI STASIO
A48002105 UGO ADALBERTO DIANA
A48002242 LUIGI ESPOSITO ACANFORA
A48002124 LAURA ESPOSITO
A48002264 SIMONE ESPOSITO
A48002196 MARIKA FABOZZO
A48002151 MARIANGELA FARINA
A48002135 ALESSANDRA FATTORE
A48001932 CLARISSA ANITA FIORELLI
A48002155 LUISA GENTILE
A48002107 RITA GIACOMINI
A48002197 ANNA GIAQUINTO
A48001706 MARIA GIORDANO
A48002126 FEDERICA IANNONE
A48002158 EMANUELA IANUALE
A48002127 MARGHERITA IORIO
A48002159 NICOLA IOSSA
A48002108 CHIARA MAISTO
A48002109 ROSA MANCINO
A48002259 ANNUNZIATA MARIA
A48001848 SERENA MARTINEZ
A48002130 NOEMY MENNILLO
A48001775 IRINA MESOLELLA
A48002221 MARTINA MILANO
A48001654 GIANLUIGI MINERVA
A48002267 TEODORA MURGANTE

Aula B2

A48002222 GIULIA MUSICA
A48002001 CHIARA NARDIELLO
A48002111 SILVIA PANEVINO
A48002170 CATERINA PICCERILLO
A48002211 ANNA PICCOLO
A48002249 CAROLINA PICONE
A48002171 EMANUELA QUARTO
A48002279 VINCENZO RAIA
A48002247 SIMONA RINALDI
A48002173 ANDREA ROMANO
A48002112 LAURA ROMANO
A48002262 VIVIANA RUGGIERO
A48002218 GIUDITTA RUSSO
A48002132 NOEMI RUSSO
A48002174 FRANCESCO SANTAGATA
A48002052 ROBERTA SANTARSIERO
A48002053 ROSSELLA SCARPATI
A48002133 FRANCESCA SCHIAVONE
A48002113 CLAUDIA SICILIANO
A48002089 FILOMENA SILVESTRE
A48002281 FILOMENA SILVESTRE
A48002255 FRANCESCA SPERANDIO
A48001829 YLENIA SPINA
A48002115 ANTONIO STANZIONE
A48002033 ILENIA TESSITORE
A48002179 MARTINA TRABUCCO
a48002233 ELISABETTA VALENTINO
A48002182 ELVIRA VERAZZO
A48002185 ALESSIO PIO VITALE
A48002117 TERESA ZAGARIA

SI RICORDA CHE LO STUDENTE DEVE ESIBIRE UN DOCUMENTO DI RICONOSCIMENTO IN CORSO DI VALIDITA’.

I TELEFONI CELLULARI DEVONO ESSERE RIPOSTI SPENTI NEGLI ZAINI;

NON SERVONO LA TAVOLA PERIODICA E LA CALCOLATRICE

E’ POSSIBILE PORTARE I MODELLINI MOLECOLARI

SIMULAZIONE I PROVA INTERCORSO

Collegandoti al seguente link hai la possibilità di valutare la tua preparazione su tutti gli argomenti della prova intercorso. Le domande sono state estrapolate dalle prove proposte agli studenti nel passato.

Il test ha una durata di 90 minuti. Alla fine riceverai il punteggio e potrai controllare le tue risposte.

Puoi accedere solo se sei uno studente @unicampania. Il nome dell’utente sarà registrato e visibile solo al docente del corso

AUTOVALUTAZIONE: NOMENCLATURA

Collegandoti al seguente link hai la possibilità di valutare la tua preparazione sulla nomenclatura.

Il test ha una durata di 45 minuti. Alla fine riceverai il punteggio e potrai controllare le tue risposte.

Puoi accedere solo se sei uno studente @unicampania. Il nome dell’utente sarà registrato e visibile solo al docente del corso

ORGANIC CHEMISTRY CHALLENGE – CDS FARMACIA

Regolamento:

  • Vincerà la sfida (2 punti di bonus sulla prossima prova intercorso) chi risponderà per primo CORRETTAMENTE al quesito
  • La risposta va inserita nei commenti al post.
  • Ognuno può rispondere solo una volta (anche in presenza di più di un commento pubblicato dalla stessa persona, soltanto il primo sarà preso in considerazione).
  • Il tempo massimo a disposizione sarà di 12 ore dalla pubblicazione del post.
  • L’eventuale vincitore sarà annunciato a lezione.

CHALLENGE

Assegna il nome IUPAC al seguente composto:

Good Luck!

La challenge scadrà alle 22,30 del 15 ottobre

Il tempo a disposizione è scaduto. Domani sarà annunciata la persona che per prima ha dato la risposta corretta.

Di seguito potrete guardare il video per confrontare la vostra risposta. Tenete conto che i gruppi sostituenti possono essere nominati secondo IUPAC o con il nome d’uso.

Soluzione della “challenge” del 15 ottobre

Autovalutazione: struttura atomica, ibridazione, legami

Collegandoti al seguente link hai la possibilità di valutare la tua preparazione sulla struttura elettronica, ibridazizone, legami.

Il test ha una durata di 30 minuti. Alla fine riceverai il punteggio e potrai controllare le tue risposte.

Puoi accedere solo se sei uno studente @unicampania. Il nome dell’utente sarà registrato e visibile solo al docente del corso

Alcani e Cicloalcani

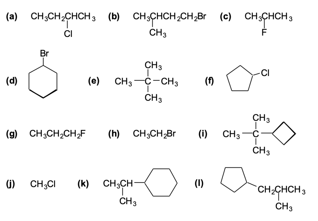
Esercizio n.1

Assegna il nome IUPAC ai seguenti composti:

Esercizio n. 2

Convertite i seguenti nomi nelle corrispondenti strutture molecolari. Dopo averlo fatto, controllate se il nome di ciascuna molecola che vi è stato fornito qui è in accordo con le regole IUPAC di nomenclatura. Se non lo è, denominate la molecola nel modo corretto.

(a) 2-metil-3-propilpentanp

(b) 5-(1,1-dimetilpropil)nonano

(c) 2,3,4-trimetil-4-butileptano

(d) 4-ter-butil-5-isopropilesano

(e) 4-(2-etilbutil)decano

(f) 2,4,4-trimetilpentano

(g) 4-sec-butileptano

(h) isoeptano

Esercizio n. 3

Assegna due nomi  ai seguenti composti:

Esercizio n. 4

Scrivere tutti gli isomeri di struttura di C7H16. Assegnare a ciascuna struttura il nome IUPAC

Esercizio n. 5

Quale dei seguenti composti sono identici e quali sono isomeri strutturali?

Esercizio n. 6

Scrivi tutti i possibili isomeri di struttura del dimetilciclopentano e assegna il nome IUPAC ad ognuno di essi.

« Older Entries Recent Entries »