Tag Archives: Esercizi 25

Esercizi IV Prova

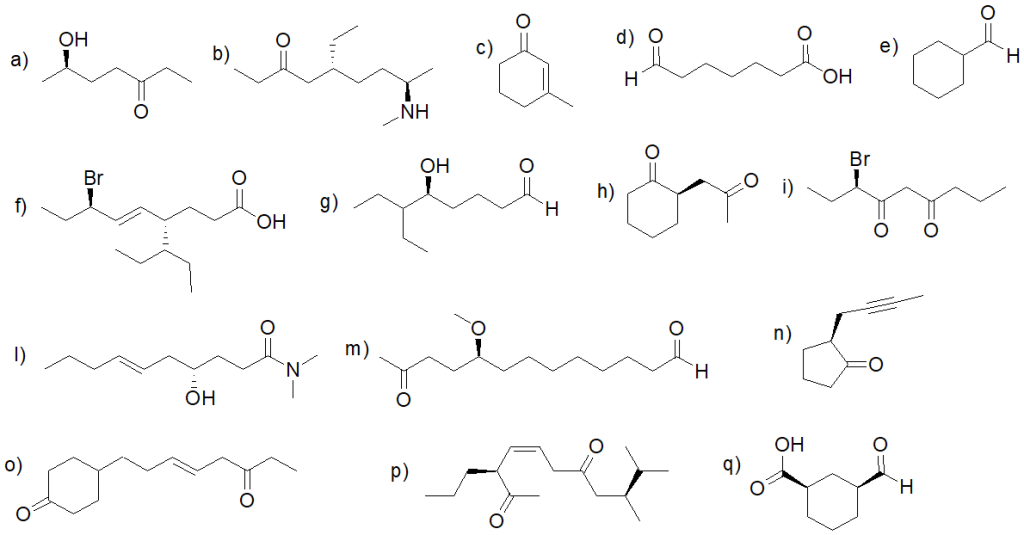
1. Assegnare il nome IUPAC, comprensivo di stereochimica, ai seguenti composti       

                           

2. Scrivere i prodotti principali di eliminazione delle seguenti reazioni, indicando, per ciascuna reazione, se procede con meccanismo E1 o E2

3. Scrivere i prodotti principali delle seguenti reazioni, indicando la stereochimica quando necessario:   

4. A. Chi reagirà più velocemente in una reazione E2 tra (1R,3R)-1-bromo-3-isopropilcicloesano e (1R,3S)-1-bromo-3-isopropilcicloesano? Spiegare sinteticamente perché. 

B. Chi reagirà più velocemente in una reazione E2 tra (1S,3S)-1-bromo-3-isopropilcicloesano e (1S,3R)-1-bromo-3-isopropilcicloesano? Spiegare sinteticamente perché.                                   

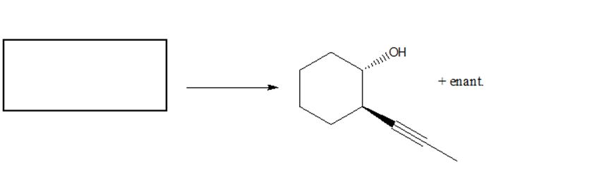
5. I reattivi di Grignard sono tra i nucleofili che possono aprire gli epossidi. Mostrare il meccanismo e i prodotti della seguente sequenza di reazioni (indicando la stereochimica dei prodotti):                                  

          

                

6. A. La disidratazione acido-catalizzata del (1R,2R)-2-metil-1-ciclopentanolo porta alla sintesi di tre alcheni diversi. Mostrare il meccanismo di formazione dei tre prodotti.         

B. La disidratazione acido-catalizzata del (1S,2S)-2-metil-1-ciclopentanolo porta alla sintesi di tre alcheni diversi. Mostrare il meccanismo di formazione dei tre prodotti.              

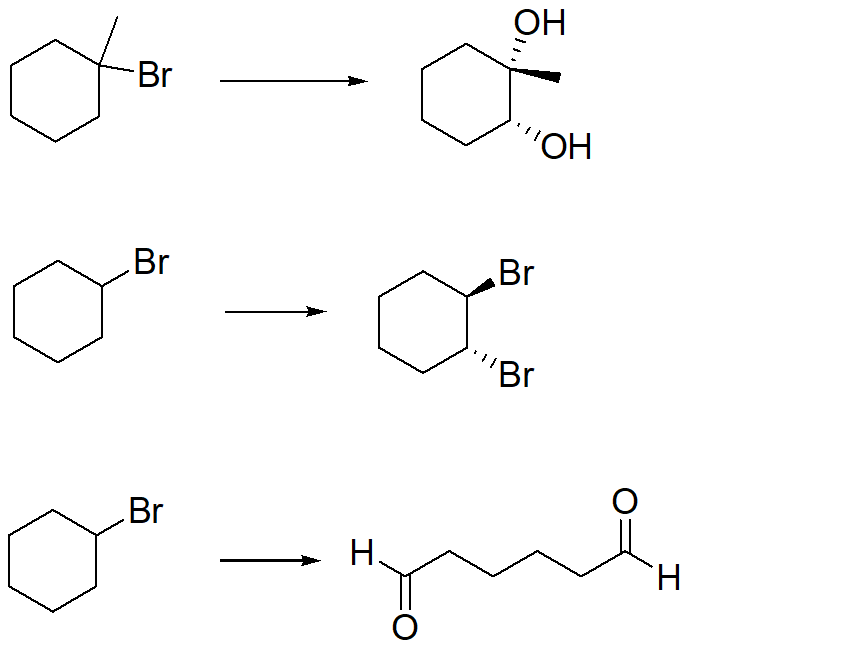
7. Completare il seguente schema inserendo le condizioni di reazione o i prodotti mancanti. Evidenziare la stereochimica quando opportuno.                                                                            

8. Mostrare il meccanismo e i prodotti della seguente reazione:   

                                                             

Opzionale 1: Mostrare il meccanismo per la seguente trasformazione                                                       

Opzionale 2: Assegnare il nome IUPAC comprensivo di stereochimica al seguente composto    

                

Biomolecole

Nelle tracce di alcuni esercizi sono indicate le pagine del libro dove è possibile trovare supporto. NB: si fa riferimento sempre all’ultima edizione del Bruice. Chi ha altri testi o edizioni vecchie del Bruice può comunque risalire alle pagine utilizzando l’indice analitico.

1) Classifica i seguenti monosaccaridi (vedi esempio a) e dire se appartengono alla serie D o alla serie L. Attribuire la configurazione assoluta a ciascun carbonio chirale .        

  

2) I monosaccaridi a 5 e 6 termini esistono in soluzione acquosa in maniera preponderante nelle loro forme emiacetaliche cicliche. Mostrare il processo di ciclizzazione per tutti gli zuccheri dell’esercizio 1 per cui questo è possibile. Indicare il carbonio anomerico e per ciascuno disegnare sia l’anomero alfa, sia l’anomero beta.

3) Scrivere:
a) D-mannosio (il mannosio è l’epimero in 2 del glucosio)
b) L-galattosio (il galattosio è l’epimero in 4 del glucosio)
c) D-allosio (l’allosio è l’epimero in 3 del glucosio)
d) L-idosio (l’idosio è un diastereoisomero del glucosio, che ne differisce per la configurazione al C-2, C-3 e C-4)
e) il D-fruttosio (il fruttosio è un chetoso che presenta, ai carboni chirali che restano tali, le stesse configurazioni assolute del glucosio)

4) Mostrare cosa accade se mettiamo il D-mannosio (epimero in 2 del glucosio) e il D-fruttosio in ambiente basico

5) Mostrare i prodotti di riduzione con sodio boro idruro e di ossidazione col reattivo di Tollens dei monosaccaridi dell’esercizio 3.

6) Mostrare il meccanismo e i prodotti della sintesi di Kiliani-Fisher effettuata su D-treosio e su D-eritrosio. è possibile sintetizzare il D-glucosio a partire da uno dei due? Come procedereste?

7) Dopo aver solubilizzato in acqua l’alfa e il beta D-galattopiranosio, si osserva per le due soluzioni una rotazione specifica pari a +150,7° e +52,8°, rispettivamente. Quando si effettua di nuovo la misura dopo un certo tempo, si osserva per entrambe le soluzioni una rotazione specifica pari a +80,2°. Come possiamo spiegare questa osservazione?

8) Scrivere i seguenti amminoacidi sia in proiezione di Fischer sia utilizzando le strutture a segmenti:
a) L-alanina (R=-CH3)
b) L-glutammina (R= -CH2CH2C=ONH2)
c) Acido L-aspartico (R=-CH2COOH)
d) L-cisteina (R=-CH2SH)

9) Quella riportata di seguito è la curva di titolazione dell’amminoacido alanina (R=-CH3).

a)  Disegnare una curva di titolazione per l’amminoacido glicina (R=-H).

b) Di seguito è riportata la curva di titolazione per l’acido glutammico (R=-CH2COOH). Scrivere la struttura dell’amminoacido a 1) pH<2, 2) pH=3, 3) pH=7, 4) pH>10. NB: pka3 fa riferimento al pKa del gruppo ionizzabile in catena laterale; prima di affrontare questi esercizi è bene rivedere quanto studiato all’inizio del corso su acidi e basi. Consigliato anche vedere l’esercizio 51 a pagina 1026.


10) Mostrare la sintesi del dipeptide alanilglicina (Ala-Gly; R =-CH3 per alanina, H per glicina).

Aromaticità e benzene

1) Un composto è aromatico se:
1) ha una nuvola ininterrotta di elettroni π (per cui il composto deve essere ciclico, planare e ogni atomo dell’anello deve possedere un orbitale p);
2) contiene 4n+2 elettroni π (ovvero un numero dispari di coppie di elettroni π).
Un composto è antiaromatico se soddisfa il primo ma non il secondo criterio per l’aromaticità. I composti antiaromatici sono quindi ciclici, planari, possiedono una nube ininterrotta di elettroni π, ma hanno numero pari di coppie di elettroni π. I composti antiaromatici non possono riempire i loro orbitali molecolari di legame, per cui risultano molto instabili e altamente reattiviti:

configurazione elettronica del benzene (aromatico) e del ciclobutadiene (antiaromatico)

Classifica i seguenti composti o ioni come aromatici, antiaromatici o non aromatici, giustificando la scelta:

2) Assegnare il nome IUPAC ai seguenti composti

3) Mostrare la sintesi delle molecole a-e dell’esercizio 2 a partire dal benzene.

4) In relazione ai composti sintetizzati nell’esercizio 3, che effetto hanno i sostituenti introdotti sulla reattività del benzene? Come orientano eventuali ulteriori sostituenti? Motivare la risposta.

5) Come sintetizzeresti il composto h dell’esercizio 3 a partire dal benzene?

Qui potete trovare alcuni esercizi svolti (si consiglia di prendere visione di questo file solo dopo aver provato a risolvere gli esercizi in maniera autonoma)

Composti carbonilici-reazioni al carbonio alfa

PRIMA DI SVOLGERE QUESTI ESERCIZI è NECESSARIO STUDIARE Il CAP. 17 del Bruice.

Si consiglia, inoltre, di prendere visione del materiale didattico precedentemente condiviso (in particolare, vedere il punto c). Seguendo questo link è invece possibile scaricare alcuni esercizi svolti

1) a. Individuare gli idrogeni più acidi in ciascuno dei seguenti composti. b. ordinare i seguenti composti in ordine di acidità crescente
a) 3-ossobutanoato di metile
b) acetone (=propanone)
c) acetaldeide (=etanale)
d) 2,4-pentandione
e) etanoato di metile

2) Scrivere il meccanismo e i prodotti delle seguenti reazioni

3) Proporre un metodo per la sintesi dei seguenti composti mediante condensazione aldolica (indicare le condizioni di reazioni e mostrare il meccanismo).
a) 4-epten-3-one
b) 5-metil-4-epten-3-one
c) 2-cicloesen-1-one
d) 3-metil-2-cicloesen-1-one
Suggerimento: per capire da quali composti partire, dobbiamo considerare che il carbonile presente nel prodotto di condensazione aldolica è quello del composto (o della porzione della molecola) da cui abbiamo generato lo ione enolato, mentre il carbonio beta (ora impegnato in un doppio legame C-C) era il carbonio carbonilico che ha subito l’attacco nucleofilo. Quindi, prendiamo il composto alfa,beta-insaturo e immaginiamo di saturare il doppio legame e aggiungere un gruppo -OH sul carbonio beta; immaginiamo poi di rompere il legame tra il carbonio alfa e il carbonio beta, aggiungendo un idrogeno a quello che era il carbonio alfa mentre l’ossidrile che era in beta diventerà un carbonile.

4) Proporre un metodo per la sintesi dei seguenti composti mediante condensazione di Claisen (indicare le condizioni di reazioni e mostrare il meccanismo).
a) 3-ossobutanoato di metile
b) 2,4-pentandione
c) 2-ossocicloesancarbossilato di etile
d) 1,3-cicloesandione
Suggerimento: considerare il composto ottenuto. Capire se è un beta-chetoestere o un beta-dichetone. Il primo deriverà dalla condensazione di due esteri, il secondo dalla condensazione di un estere con un chetone. Fare anche in questo caso un’analisi retrosintetica (avendo ben presente qual è il meccanismo della condensazione di Claisen).

5) Indicare i composti carbonilici di partenza che, in seguito a reazione di condensazione aldolica, forniscono il seguente composto:

6) Le seguenti reazioni non sono utilizzabili per ottenere il prodotto mostrato in alte rese. Individuare e correggere l’errore in ciascuna reazione.


7) Come può essere preparato il seguente composto mediante reazione di Michael?

8) Proporre una strategia per sintetizzare il 2-etil-3-metil-2-pentenale utilizzando 1-butanolo come unica fonte di atomi di carbonio.

9) Proporre un meccanismo per la seguente trasformazione (potrebbero essere necessari più passaggi).

10) Proporre le condizioni e il meccanismo della seguente trasformazione

11) Sintetizzare i seguenti composti mediante condensazione aldolica o di Claisen. Indicare per ciascuno le condizioni di reazione, i reagenti, la strategia di sintesi e mostrare il meccanismo.

Esercitazione su reazioni di sostituzione nucleofila acilica e di addizione nucleofila ai composti carbonilici

1) Partendo da acido acetico (=acido etanoico) indicare le condizioni e il meccanismo di reazione (quando possibile) per ottenere i seguenti composti:
a) cloruro di acetile
b) anidride acetica
c) acetato di etile
d) N-metilacetammide
e) etanolo
f) 2-metil-2-propanolo
g) 2-metil-1-propanolo
h) etanale
i) (1R)-1-cicloesiletanolo + (1S)-1-cicloesiletanolo
l) 2-propanolo
m) (2R)-1-ammino-2-propanolo + (2S)-1-ammino-2-propanolo
n) 2-metil-4-penten-2-olo
o) 2-metil-1,2-propandiolo
p) 1,2-propandiolo
q) 1-bromo-1-etilciclopentano
r) etanoato di etile (utilizzando l’acido acetico come unica fonte di atomi di carbonio)
s) (3R)-3-bromo-3-metilesano + (3S)-3-bromo-3-metilesano
t) 3-etossi-3-metilpentano (utilizzando l’acido acetico come unica fonte di atomi di carbonio)
u) 2-eptanone
v) 2,2-dimetossipropano
z) (2S,3S)-3-metil-2-pentanolo + (2S,3S)-3-metil-2-pentanolo (utilizzando l’acido acetico come unica fonte di atomi di carbonio)
NB: per la sintesi di molti di questi composti sono necessari più passaggi. Fare attenzione alla corretta sequenza di reazioni e alla reattività dei diversi gruppi funzionali nei confronti dei diversi reattivi. E’ possibile aggiungere fonti di atomi di C diverse dall’acido acetico, ammenochè non sia diversamente indicato nella traccia.

2) Mostrare come è possibile convertire l’1-bromobutano in:
a) 1-pentanolo
b) 3-eptanolo
c) 1-esanolo
d) 2-metil-2-esanolo
d) pentanammide
e) butanammide

3) Mostrare come è possibile ottenere il 2-metil-2-butanolo a partire dal 1-propanolo

4) Proporre un meccanismo per le seguenti trasformazioni:

5) Mostrare il meccanismo e scrivere il prodotto della seguente reazione

6) Mostrare i prodotti ottenuti a partire dai seguenti composti posti in presenza di tracce di acido

7) Quale composto carbonilico e quale alcol sono necessari per sintetizzare i seguenti composti?

8) Mostrare le condizioni di reazione, il meccanismo e indicare i prodotti delle seguenti reazioni. Classificare i prodotti come immine o enammine

9) Trattando l’aldeide 4-idrossibutanale con metanolo in presenza di un catalizzatore acido (HCl), si ottiene il 2-metossitetraidrofurano (la cui struttura è qui riportata). Proporre un meccanismo per la reazione.

10) Completare il seguente schema:

Ancora esercizi in vista della IV prova…e soluzioni

Al seguente link è possibile scaricare un file in cui troverete la maggior parte degli esercizi della quarta prova dell’anno scorso (svolti): https://drive.proton.me/urls/FT5G3ET6C8#co0FuKnapfGJ (sono stati esclusi quelli che coprivano argomenti che quest’anno non sono inclusi nella prova).
Pur avendo le soluzioni, vi consiglio prima di provare a svolgerli in maniera autonoma.

NB: le prove erano 4 diverse, per cui non vi fate impressionare dal numero di esercizi (soprattutto di quelli di nomenclatura, che erano ovviamente divisi nelle 4 prove). ALcuni esercizi erano in comune tra le prove. Per avere un’idea della mole di esercizi, far riferimento al post “Esercitiamoci per la IV prova”.

Sono state inoltre pubblicate le soluzioni per la maggior parte degli esercizi dei seguenti post:

Per gli esercizi sulla nomenclatura e per quelli relativi agli effetti del solvente su reazioni di sostituzione ed eliminazione è possibile commentare i post inserendo le soluzioni (sulle quali vi sarà dato feedback prima possibile). NB: Saranno presi in considerazioni solo i commenti pubblicati entro domenica alle 15:00.

Esercitiamoci per la IV Prova

Suggerimento: per poter usare questi set di esercizi come test di autovalutazione, svolgerli senza l’ausilio di libro/appunti ed impiegando un tempo massimo di 2 ore per ciascun set.

1) Mostrare una strategia per sintetizzare il 3,3-dimetilcicloesene a partire da 2,2-dimetilcicloesanolo, che dia il prodotto desiderato come unico prodotto della reazione. Mostrare anche il meccanismo di reazione.     

2) Spiegare perchè le ammidi sono, tra i derivati degli acidi carbossilici, i composti meno reattivi nelle reazioni di sostituzione nucleofila acilica.

3) Completare il seguente schema inserendo le condizioni di reazione o i prodotti mancanti nei riquadri. Evidenziare la stereochimica quando opportuno

4) Ordina i seguenti composti per reattività crescente in una reazione E1        

5) Scrivere i prodotti delle seguenti reazioni (se avvengono). Indicare anche il meccanismo con cui avvengono (SN1, SN2, sostituzione nucleofila acilica, ecc. Indicare la stereochimica dei prodotti dove opportuno

6) Mostrare le condizioni di reazione e il meccanismo per ottenere l’acido propanoico a partire dall’opportuno estere          

7) Assegnare il nome IUPAC, comprensivo di stereochimica, ai seguenti composti        

1) Completare il seguente schema inserendo le condizioni di reazione o i prodotti mancanti nei riquadri. Indicare la stereochimica quando opportuno.

2) Dato il seguente etere:

Mostra la strategia di sintesi mediante sintesi di Williamson

3) Da quale alogenuro alchilico è opportuno partire per ottenere il seguente composto come prodotto principale? Mostrare l’analisi retrosintetica e spiegare perchè quella scelta è l’unica strategia che dà questo composto come prodotto principale.

4) Ordina i seguenti composti per reattività crescente in una reazione SN2 , motivando la scelta       

5) Proporre un meccanismo plausibile per la formazione dei seguenti alcheni a partire dall’alcol mostrato, a seguito di una reazione di disidratazione acido catalizzata

6) In riferimento all’esercizio 5, come procederesti per ottenere solo l’alchene B? Perché quello sarà l’unico prodotto della reazione?

7) Assegnare il nome IUPAC, comprensivo di stereochimica, ai seguenti composti:

8) Spiegare perchè nella seguente reazione non si ottiene alcun prodotto di eliminazione

1) Assegnare il nome IUPAC, comprensivo di stereochimica, ai seguenti composti:

2. Scrivere i prodotti principali o le condizioni delle seguenti reazioni, indicando la stereochimica quando opportuno

3. Mostrare il meccanismo di apertura del seguente epossido a) con metanolo in ambiente acido; b) con lo ione acetiluro ottenuto trattando l’etino con NaNH2. Mostrare la stereochimica dei prodotti. Attribuire il nome IUPAC all’epossido e ai prodotti formati.

4. Quale sarà il prodotto della reazione di CH3MgBr con il propanone? E con il propanoato di etile? Scriverne i nomi IUPAC. Perché i due prodotti saranno diversi?

5. Chi reagirà più velocemente in una reazione E2 tra (1R,3R)-1-bromo-3-isopropilcicloesano e (1R,3S)-1-bromo-3-isopropilcicloesano? Spiegare sinteticamente perché.

6) Indicare le condizioni di reazione:

7) Qual è il prodotto della seguente reazione?

This image has an empty alt attribute; its file name is immagine-66.png

8) Completare il seguente schema inserendo i prodotti principali

Reazioni di sostituzione nucleofila acilica e di addizione nucleofila ai composti carbonilici

PRIMA DI SVOLGERE QUESTI ESERCIZI è NECESSARIO STUDIARE I CAP. 15 e 16 (in parte) del Bruice, Inoltre, molti degli esercizi di questo post richiedono conoscenze pregresse

1) Indicare i prodotti della reazione dell’acetone (=propanone) e dell’acetato di etile con i seguenti composti (se la reazione avviene). Indicare le opportune condizioni di reazione e mostrare il meccanismo.
a) metanammina
b) dimetilammina
c) metanolo
d) bromuro di etilmagnesio
e) NaBH4

1) Come si potrebbero sintetizzare i seguenti composti mediante una reazione tra un aldeide o un chetone e un reattivo di Grignard?

a) 2-pentanolo
b) 1-butanolo
c) 1-fenilcicloesan-1-olo
Mostrare i meccanismi di reazione
 

3) Indicare il reattivo di Grignard e il composto carbonilico opportuni per ottenere i seguenti alcoli. Quando sono possibili più strategie, mostrarle tutte. Mostrare il meccanismo e indicare la stereochimica dei prodotti, se opportuno.
a) 1-esanolo
b) 2-esanolo
c) 1-cicloesil-1-pentanolo
d) 1-etilcicloesan-1-olo
e) 2-ciclopentil-2-propanolo

4) Il carbonio carbonilico del propanale viene attaccato dallo ione cianuro. Quale saranno gli orbitali HOMO e LUMO coinvolti nella reazione?

5) Spiegare perchè delle due reazioni mostrate in basso la prima avviene velocemente e la seconda non avviene

6) Il paracetamolo, N-(4-idrossifenil)acetammide, è un farmaco ad azione analgesica ed antipiretica molto utilizzato. Tachipirina ed Efferalgan sono i nomi commerciali più conosciuti dei farmaci che lo contengono. il paracetamolo può essere preparato per acetilazione selettiva del gruppo amminico del 4-amminofenolo con anidride acetica in H2O (vedi figura). Proporre il meccanismo di reazione utilizzato nella sintesi del paracetamolo a partire dal 4-amminofenolo.

7) Completare il seguente schema:

8) Completare il seguente schema inserendo le condizioni di reazione o i prodotti mancanti nei riquadri. Indicare la stereochimica quando opportuno.

9) Completare il seguente schema inserendo le condizioni di reazione o i prodotti mancanti nei riquadri. Evidenziare la stereochimica quando opportuno.

10) Partendo da acido acetico (=acido etanoico) indicare le condizioni e il meccanismo di reazione (quando possibile) per ottenere i seguenti composti (in alcuni casi potrebbero essere necessari più passaggi, che prevedono anche reazioni già studiate):
a) cloruro di acetile
b) anidride acetica
c) acetato di etile
d) N-metilacetammide
e) etanolo
f) 2-metil-2-propanolo
g) 2-metil-1-propanolo
h) etanale

Reazioni di sostituzione nucleofila acilica

Per affrontare questi esercizi è INDISPENSABILE aver studiato il cap 15 del Bruice.

1) Mostrare il meccanismo e i prodotti delle seguenti reazioni

2) Partendo dall’opportuno cloruro acilico, sintetizzare i seguenti composti 

3) Ordina i seguenti composti per reattività crescente in una reazione di sostituzione nucleofila acilica, giustificando la risposta

4) Partendo da acido acetico (=acido etanoico) indicare le condizioni e il meccanismo di reazione (quando possibile) per ottenere i seguenti composti:
a) cloruro di acetile
b) anidride acetica
c) acetato di propile
d) N-metilacetammide

5) Mostrare come è possibile sintetizzare l’acido pentanoico a partire dall’1-bromopropano

6) La sintesi di Gabriel è utilizzata per la sintesi di ammine primarie. Mostrare il meccanismo di formazione della propanammina a partire dall’opportuno alogenuro alchilico e dalla ftalimmide di potassio. Proporre un meccanismo plausibile per l’idrolisi acido-catalizzata della ftalimmide N-sostituita

7) In figura sono riportate le strutture della morfina e dell’eroina. La seconda molecola può essere ottenuta per semi-sintesi* a partire dalla prima mediante una reazione di sostituzione nucleofila acilica. Individuare le modifiche strutturali necessarie e proporre una strategia per ottenere l’eroina a partire dalla morfina

*produzione di composti organici a partire da sostanze organiche naturali che vengono solo parzialmente modificate in laboratorio

8) Proporre un meccanismo per la seguente trasformazione:

« Older Entries