Esercizi IV Prova
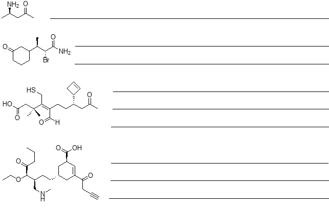
1. Assegnare il nome IUPAC, comprensivo di stereochimica, ai seguenti composti


2. Scrivere i prodotti principali di eliminazione delle seguenti reazioni, indicando, per ciascuna reazione, se procede con meccanismo E1 o E2


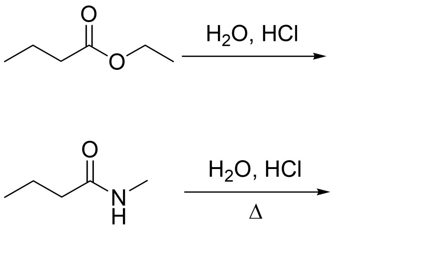
3. Scrivere i prodotti principali delle seguenti reazioni, indicando la stereochimica quando necessario:


4. A. Chi reagirà più velocemente in una reazione E2 tra (1R,3R)-1-bromo-3-isopropilcicloesano e (1R,3S)-1-bromo-3-isopropilcicloesano? Spiegare sinteticamente perché.
B. Chi reagirà più velocemente in una reazione E2 tra (1S,3S)-1-bromo-3-isopropilcicloesano e (1S,3R)-1-bromo-3-isopropilcicloesano? Spiegare sinteticamente perché.
5. I reattivi di Grignard sono tra i nucleofili che possono aprire gli epossidi. Mostrare il meccanismo e i prodotti della seguente sequenza di reazioni (indicando la stereochimica dei prodotti):

6. A. La disidratazione acido-catalizzata del (1R,2R)-2-metil-1-ciclopentanolo porta alla sintesi di tre alcheni diversi. Mostrare il meccanismo di formazione dei tre prodotti.
B. La disidratazione acido-catalizzata del (1S,2S)-2-metil-1-ciclopentanolo porta alla sintesi di tre alcheni diversi. Mostrare il meccanismo di formazione dei tre prodotti.
7. Completare il seguente schema inserendo le condizioni di reazione o i prodotti mancanti. Evidenziare la stereochimica quando opportuno.

8. Mostrare il meccanismo e i prodotti della seguente reazione:

Opzionale 1: Mostrare il meccanismo per la seguente trasformazione

Opzionale 2: Assegnare il nome IUPAC comprensivo di stereochimica al seguente composto

You must be logged in to post a comment.