Tag Archives: Esercizi 25

Nomenclatura composti carbonilici e composti polifunzionali

Prima di affrontare questi esercizi, prendere visione del materiale didattico pubblicato…

…e fare gli esercizi dei set precendenti:

Assegnare il nome IUPAC, comprensivo di stereochimica, ai seguenti composti.

PRIMO SET:
In questo set di esercizi, troverete il gruppo aldeidico o il gruppo chetonico come gruppi funzionali non prioritari. In questo caso vanno indicati come sostituenti.
Questo è il caso quando nella molecola sono presenti anche gruppi funzionali relativi ai derivati degli acidi carbossilici (esempi a-c). O quando il gruppo aldeidico o chetonico sono ripetuti, ma presenti in due unità strutturali diverse (esempio f), per cui non possono essere tutti inclusi nella catena principale.
Inoltre, tra il gruppo aldeidico e quello chetonico, il primo ha priorità (g-h).
A seconda dei casi (vedi materiale didattico per ulteriori chiarimenti) dovremo usare “-osso” (=O) o formil (HC=O).

SECONDO SET:

Qui troverete il gruppo ammidico come sostituente.
Questo è il caso in cui oltre a questo gruppo funzionale è presente uno qualsiasi dei gruppi funzionali degli altri derivati degli acidi carbossilici (che avranno priorità).
Possiamo avere due casi diversi. Infatti il legame con la catena principale, in questo caso, potrebbe avvenire o attraverso il carbonio (a-b) o attraverso l’eteroatomo (c). Vedi le dispense per ulteriori chiarimenti sulla nomenclatura da usare in ciascun caso.

TERZO SET:

Qui troverete il gruppo C(=O)Cl come sostituente. Questo è il caso in cui sono presenti altri gruppi funzionali prioritari (gruppo estereo o carbossilico).

QUARTO SET:

Gruppo estereo come sostituente. Questo è il caso in cui nella molecola c’è un anche un gruppo carbossilico (che ha priorità rispetto al gruppo estereo). Come nel caso del gruppo ammidico, il legame con la catena principale può avvenire o attraverso il carbonio (a) o attraverso l’eteroatomo (b)

QUINTO SET:

Il gruppo carbossilico sarà denominato come un sostituente solo quando è ripetuto più volte nella stessa molecola, ma non può essere incluso tutte le volte nello scheletro principale (e quindi non possiamo usare il suffisso -dioico, -trioco, etc.).
Esempio:

NB: anche nel caso degli altri derivati degli acidi carbossilici, quando i gruppi funzionali sono ripetuti più volte ma non possono per qualsiasi motivo essere tutti inclusi nello scheletro principale, quelli presenti sulle ramificazioni vanno indicati come sostituenti.

SESTO SET

Esercizi misti.
Prima di procedere con questo set, si consiglia di prendere visione delle dispense già citate sopra (dove troverete anche indicazioni su come indicare il benzene come sostituente) e dei seguenti esercizi svolti: Esercizi svolti I, Esercizi svolti II
NB: fate attenzione ai commenti presenti nel file “Esercizi svolti I” relativi alle correzioni in accordo con l’aggiornamento delle regole IUPAC. Per visualizzare detti commenti, cliccate sul fumetto (si aprirà un commento come mostrato nello screenshot sotto) o aprite la sezione commenti nel file pdf.

Tralasciare la lettera H dell’esercizio 4!

Esercizio 1


Esercizio 2


Esercizio 3

Esercizio 4


Nomenclatura composti carbonilici

I seguenti set di esercizi comprendono esercizi di nomenclatura relativi ai composti carbonilici e includono anche gruppi funzionali per i quali non abbiamo ancora affrontato la nomenclatura a lezione (questa parte sarà completata lunedì).

NB: per alcune classi di composti (es. lattoni, lattami, anidridi, nitrili, ecc.), che non sono presenti in questo set di esercizi, non sarà richiesta la conoscenza delle regole di nomenclatura IUPAC, ma sarà in ogni caso necessario saper riconoscere il gruppo funzionale.

In questi esercizi, troverete composti in cui sono presenti anche gruppi funzionali già incontrati in precedenza. Il gruppo carbonilico avrà sempre priorità rispetto a ciascuno di essi. Quindi, sarà necessario applicare le regole IUPAC che già conoscete. Non troverete invece esercizi in cui sono presenti più gruppi carbonilici. Lunedì a lezione capiremo qual è la priorità relativa di questi ultimi.


1) Acidi carbossilici

Come si costruisce il nome: acido alcanoico (dove “alcan” indica la radice del nome attribuita in base al numero di atomi di carbonio della catena principale). Eventuali sostituenti vanno indicati utilizzano gli opportuni prefissi, mentre eventuali legami multipli vanno indicati utilizzando l’opportuno suffisso, sempre indicando la posizione. Le notazioni relative alla stereochimica vanno poste dopo la parola “acido”. Il carbonio carbonilico, in questo caso, è sempre 1 e quindi non va indicata la posizione.
Per i composti ciclici (vedi esempio c), nei quali il gruppo funzionale è direttamente legato al ciclo, la presenza del gruppo carbossilico si indica proprio con il suffisso “carbossilico” (acido cicloalcancarbossilico). Anche in questo caso la posizione 1 non va indicata se non sono presenti altri sostituenti (es. “acido cicloesancarbossilico”), ma va indicata se sono presenti altri sostituenti o gruppi funzionali (secondo l’ultimo aggiornamento IUPAC), come nell’esempio c.

2) Cloruri acilici

Come si costruisce il nome: cloruro di alcanoile (dove “alcan” indica la radice del nome attribuita in base al numero di atomi di carbonio della catena principale). Eventuali sostituenti vanno indicati utilizzano gli opportuni prefissi, mentre eventuali legami multipli vanno indicati utilizzando l’opportuno suffisso, sempre indicando la posizione. Le notazioni relative alla stereochimica vanno poste dopo le parole “cloruro di”. Il carbonio carbonilico in questo caso è sempre 1 e quindi non va indicata la posizione.
Per i composti ciclici (vedi esempio c), la presenza del gruppo carbonilico si indica con il suffisso “carbonile” (NB: nell’esempio l’1 è riferito alla posizione del doppio legame). Per quanto riguarda l’indicazione del numero 1 nel nome, valgono le stesse regole viste per gli acidi carbossilici.

3) Esteri

Come si costruisce il nome: alcanoato di alchile (dove “alcan” indica la radice del nome attribuita in base al numero di atomi di carbonio della catena principale, “alchile” fa invece riferimento alla catena -OR). Eventuali sostituenti vanno indicati utilizzano gli opportuni prefissi, mentre eventuali legami multipli vanno indicati utilizzando l’opportuno suffisso, sempre indicando la posizione. Le notazioni relative alla stereochimica vanno poste all’inizio del nome (vedi esempio b). Il carbonio carbonilico in questo caso è sempre 1 e quindi non va indicata la posizione.
Per i composti ciclici (vedi esempio c), la presenza del gruppo funzionale si indica con il suffisso “carbossilato”. Per quanto riguarda l’indicazione del numero 1 nel nome, valgono le stesse regole viste per gli acidi carbossilici.

4) Ammidi

Come si costruisce il nome: alcanammide (dove “alcan” indica la radice del nome attribuita in base al numero di atomi di carbonio della catena principale). Eventuali sostituenti vanno indicati utilizzano gli opportuni prefissi, mentre eventuali legami multipli vanno indicati utilizzando l’opportuno suffisso, sempre indicando la posizione. Le notazioni relative alla stereochimica vanno poste all’inizio del nome. Il carbonio carbonilico in questo caso è sempre 1 e quindi non va indicata la posizione.
Per i composti ciclici (vedi esempio c), la presenza del gruppo ammidico si indica con il suffisso “carbossammide” (più raramente carbossiammide). I sostituenti legati all’azoto vanno indicati come già visto in precedenza nel caso delle ammine (esempio b). Per quanto riguarda l’indicazione del numero 1 nel nome, valgono le stesse regole viste per gli acidi carbossilici.

5) Aldeidi e chetoni

Il suffisso da usare nel caso dell’aldeide è “-ale”, nel caso del chetone “-one”. Nelle aldeidi a catena lineare, il gruppo funzionale sarà sempre in posizione 1, quindi non va indicato (a). Nel caso del chetone, bisogna invece indicare la posizione del gruppo funzionale (b).
Per le aldeidi cicliche (il che significa che il gruppo funzionale è direttamente legato al ciclo), si usa il suffisso “-carbaldeide” (c). Per quanto riguarda l’indicazione del numero 1 nel nome, valgono le stesse regole viste per gli acidi carbossilici.

Reazioni di alcoli, eteri, epossidi, ammine e composti contenenti zolfo


1) Completare la seguente reazione

2) Scrivere il prodotto o i prodotti delle reazioni dei seguenti epossidi con I) ione idrossido II) acqua in ambiente acido III) ione cianuro (C≡N).

3) Proporre una metodica in più passaggi per la seguente trasformazione (in questo caso, potrebbe essere necessario ricorrere anche a reazioni degli alcheni)

4) Proporre una metodica in più passaggi per la seguente trasformazione

5) Disegnare le formule di struttura dei prodotti che si formano per trattamento dei seguenti composti con HI a caldo

6) Mostrare i meccanismi delle reazioni dell’esercizio 5

7) Completare il seguente schema

8) Mostrare come è possibile ottenere le seguenti trasformazioni (indicare le condizioni di reazione e mostrare il meccanismo). In alcuni casi potrebbero essere necessari più passaggi.

9) Mostrare il meccanismo di apertura del seguente epossido a) con etanolo in ambiente acido; b) con ione etossido. Mostrare la stereochimica dei prodotti.Attribuire il nome IUPAC all’epossido e ai prodotti formati                                                                                      

10) Proporre le condizioni e il meccanismo per la formazione degli alcheni A e B                  

                     

Esercitazione su reazioni di sostituzione ed eliminazione di vari composti organici

1) Disegnare la formula di struttura per il prodotto di ogni reazione SN2.

2) Disegnare la formula di struttura per il prodotto di ogni reazione SN1 (se avviene).

3) L’1-cloro-2-butene in acqua dà una miscela di 2-buten-1-olo e 3-buten-2-olo (racemo). Proporre un meccanismo che spieghi la loro formazione.

4) Indicare come si potrebbero sintetizzare i seguenti composti a partire da un alogenuro alchilico e da un nucleofilo.

5) Scrivere il prodotto principale delle seguenti reazioni:

6) Scrivere un meccanismo di reazione che spieghi le seguenti trasformazioni. Motivare la formazione dei prodotti mostrati in a e b come prodotti principali delle reazioni in questione.

7) Scrivere la struttura e il nome IUPAC di tutti i possibili prodotti ottenuti dalla reazione E2 del (3R)-3-bromo-3-metilottano

8) Scrivere i prodotti delle seguenti reazioni E2 (se avvengono) ed indicare, in caso di formazione di più prodotti, quale sarà quello principale

9) Scrivere i prodotti principali delle seguenti reazioni:

10) La velocità della seguente reazione è 1000 volte maggiore in DMSO che in metanolo. Spiegare questa differenza di velocità:

11) Scegliere quale membro di ciascuna coppia reagisce più velocemente in una reazione SN1?
a) 1-clorobutano o 2-cloro-2-metilpropano
b) 2-cloro-2-metilpropano o 2-bromo-2-metilpropano

12) Ordinare secondo reattività descrescente in eliminazione E2 i seguenti composti:

13) Quale dei seguenti composti reagirà più velocemente in una E2?

14) Il diastereoisomero A del (+)-2-cloro-3-metilpentano e il diastereoisometo B del (-)-2-cloro-3-metilpentano reagiscono in una reazione E2 quando scaldati in piridina. A darà come prodotti (2E)-3-metil-2-pentene e (3S)-3-metil-1-pentene; B darà come prodotti (2Z)-3-metil- 2-pentene e (3S)-3-metil-1-pentene.

a) Proporre la struttura di A e B
b) spiegare perchè A converte stereoselettivamente nell’alchene E, e B nell’alchene Z
c) quale alchene è il prodotto maggioritario della reazione?

15) Scrivere il prodotto principale delle seguenti reazioni, specificando il meccanismo più probabile per la sua formazione

16) La reazione del composto mostrato in figura con una base forte, come il metossido di sodio, non produce come prodotti di eliminazione cicloseni sostituiti in quantità apprezzabile. D’altra parte, la solvolisi in metanolo dà una miscela di prodotti, incluso il cicloesene sostituito. Spiegare queste osservazioni.

17) Scrivere i prodotti principali delle seguenti reazioni:

18) Scrivere i prodotti ottenuti trattando il seguente composto con acido solforico a caldo

19) La disidratazione acido-catalizzata del 2-metilciclopentanolo fornisce tre alcheni: 3-metilciclopentene, 1-metilciclopentene e metilenciclopentano. Proporre un meccanismo che ne spieghi la formazione e dire quale sarà il prodotto principale.

20) Per il 3-bromo-2-butanolo esistono due coppie di enantiomeri [A (R,R) e B (S,S); C (R,S) e D (S,R)], diastereoisomere tra loro. Quando uno tra gli enantiomeri A o B viene trattato con HBr si ottiene solo il 2,3-dibromobutano racemo, senza traccia dell’isomero meso. Quando l’enantiomero C o D viene trattato con HBr si ottiene il 2,3-dibromobutano meso, senza traccia del 2,3-dibromobutano racemo. Giustificare queste osservazioni sperimentali.

21) Come sintetizzeresti i seguenti composti mediante sintesi di Willliamson? Mostrare condizioni e meccanismo di reazione.

22) Disegnare le strutture dei composti A-E (NB: il passaggio 2 della seconda reazione è un’alternativa a trattamento con perossido di idrogeno e acqua)

23) Proporre un meccanismo per le seguenti reazioni:

24) Indicare quale alcol delle seguenti serie a-d subisce la reazione di disidratazione più rapidamente se riscaldati in presenza di acido fosforico.

25. Scrivere i prodotti principali o le condizioni delle seguenti reazioni, indicando la stereochimica quando opportuno                              


Sigle utilizzate
DMF= Dimetilformammide
DMSO= Dimetilsolfossido
THF= tetraidrofurano
Et=etile
Me=metile
t-Bu=terz-butile

Reazioni di sostituzione ed eliminazione – Effetti del solvente

1. Quale solvente favorirà una reazione che procede con meccanismo SN1 e quale una reazione che procede con meccanismo SN2?

    2. Determinare se la reazione di sostituzione procede con meccanismo SN1 o SN2 e cerchiare il solvente in cui far avvenire la reazione al fine di velocizzarla. Giustificare la scelta.
    In basso sono riportate anche le strutture dei solventi per i quali non conoscete ancora le abbreviazioni o il nome IUPAC (tutti e quattro i solventi in questione sono solventi polari aprotici).

    Solventi:

    3. Quale delle seguenti reazioni procede più velocemente?

    4. Scegli il solvente (tra i due indicati sotto la reazione) da usare per ciascuna delle seguenti reazioni:

    5. Quali condizioni di reazione (incluso il solvente) sceglieresti per ottenere:

    a) 1-pentene a partire da un alogenuro alchilico a scelta?

    b) 1-metil-1-cicloesene a partire da uno degli stereoisomeri del 1-bromo-1-metilcicloesano (indicare anche da quale stereoisomero in particolare)?

    Reazioni di sostituzione nucleofila ed eliminazione di alogenuri alchilici e alcoli

    Raccomandazioni prima di affrontare questi esercizi:
    1) studiare le reazioni in oggetto. Prendere, inoltre, visione del materiale didattico pubblicato.
    2) Alla fine del post troverete un link in cui sono riportati alcuni degli esercizi svolti/guidati che possono essere una guida per affrontare anche gli altri esercizi

    1) Come è possibile sintetizzare i seguenti alogenuri alchilici a partre da un alcol

         


    2) Scrivere il prodotto o i prodotti principale della disidratazione con acido solforico ad alta temperatura per ciascuno dei seguenti alcoli


    3) Scrivere il prodotto o i prodotti delle seguenti reazioni :

    4) Completare le seguenti reazioni

    5) Proporre un meccanismo per le seguenti trasformazioni:

    6) Proporre una strategia di sintesi dei seguenti eteri mediante sintesi di Williamson. Per ciascun etere, dire se sono possibili metodi di sintesi alternativi.

    7) Per ciascuno dei seguenti alogenuri alchilici scrivere il principale prodotto di eliminazione specificandone la stereochimica.

    8) Per ciascuno dei seguenti alogenuri alchilici terziari, scrivere il prodotto della reazione di solvolisi con metanolo.

    9) Quale sarà il prodotto principale di eliminazione che si otterrà a partire da ciascuno dei seguenti reagenti per trattamento con una base forte e con una base debole?

    10) Scrivi la formula di struttura del prodotto organico principale per ognuna delle reazioni e specifica il meccanismo più probabile per la sua formazione

    –> ESERCIZI GUIDATI (segui il link)

    Reazioni di sostituzione ed eliminazione di alogenuri alchilici

    Raccomandazioni prima di affrontare questi esercizi:
    1) studiare le reazioni degli alogenuri alchilici, inclusa la problematica relativa alla competizione tra i meccanismi di reazione. Prendere, inoltre, visione del materiale didattico pubblicato.
    2) Non farsi spaventare dal numero di esercizi e affrontarli in maniera razionale cercando di applicare quanto studiato.
    3) Alla fine del post troverete un link in cui sono riportati alcuni degli esercizi svolti/guidati che possono essere una guida per affrontare anche gli altri esercizi

    2) Individuare quali alogenuri alchilici dell’esercizio 1 non vanno incontro a sostituzione con meccanismo SN2 e spiegare perchè. Per questi, mostrare il meccanismo SN1, indicando anche le condizioni di reazione.

    3) Quali delle seguenti affermazioni sono vere per sostituzioni nucleofile che avvengono con meccanismo SN2 e quali sono vere per sostituzioni nucleofile che avvengono con meccanismo SN1

    a) gli alogenuri terziari reagiscono più velocemente dei secondari; 

    b) se si usa un substrato otticamente attivo, la configurazione del prodotto è opposta a quella del prodotto di partenza;

    c) la velocità della reazione dipende solo dalla concentrazione del substrato; 

    d) la reazione avviene in un solo stadio; 

    e) i carbocationi sono intermedi della reazione; 

    f) la velocità della reazione dipende dalla natura del gruppo uscente; 

    g) il 2,2-dimetil-1-cloropropano è poco reattivo.

    4) Quali delle seguenti affermazioni sono tipiche di un meccanismo SN2:

    a) La reazione procede con inversione di configurazione

    b) L’ordine di reattività dell’alogenuro alchilico è il seguente: metile (più veloce) > 1° >2° > 3°

    c) Possono avvenire riarrangiamenti

    d) La velocità di reazione dipende dalla concentrazione del nucleofilo e dell’alogenuro alchilico

    e) La reazione è, generalmente, più veloce in solventi polari aprotici 

    f) la velocità dipende dalla concentrazione del nucleofilo

    g) la reazione avviene in uno stadio

    h) Si forma un intermedio carbocationico

    l) Si ottiene un prodotto in cui l’ibridazione del C che ha reagito è diversa da quella che aveva nel prodotto di partenza.

    5) Spiegare come i seguenti cambiamenti influenzino la velocità di reazione del 2-bromo-2-metilpentano con metanolo

    a) l’alogenuro alchilico è cambiato con 2-cloro-2-metilpentano

    b) l’alogenuro alchilico è cambiato con 2-cloro-3-metilpentano.

    6) Con riferimento agli alogenuri alchilici dell’esercizio 5, cosa cambierebbe se usassimo lo ione metossido invece del metanolo? E lo ione terz-butossido invece del metossido?

    7) Ordina i seguenti composti per reattività crescente in una reazione SN1 :
    a) 2-bromobutano
    b) 1-bromobutano
    c) 2-bromo-2-metilbutano

    8) Mettere i seguenti composti in ordine di reattività crescente in una reazione SN1 e motivare la scelta

    a) (CH3)3CI, (CH3)3CCl, (CH3)3CF, (CH3)3CBr
    b) 2-bromo-2-metilbutano, 3-bromo-3-metil-1-butene, 2-bromobutano
    c) 4-bromocicloesene, 5-bromo-1,3-cicloesadiene, 3-bromocicloesene

    9) Mettere i seguenti composti in ordine di reattività crescente in una reazione E2 e motivare la scelta

    a) 4-bromocicloes-1-ene, 5-bromo-1,3-cicloesadiene, 3-bromocicloes-1-ene

    10) Mostrare il meccanismo e scrivere il prodotto principale che si ottiene quando ognuno dei composti dell’esercizio 1 subisce una reazione di eliminazione E2

    11) Proporre una strategia di sintesi dei seguenti composti a partire dall’opportuno alogenuro alchilico:
    a) (1R, 3S)-3-metilcicloesan-1-olo
    b) 1-metil-1-cicloesene
    c) pentilidenciclopentano

    12) Dire quale composto delle seguenti coppie reagisce più velocemente in una reazione di eliminazione E2 e spiegare perchè:
    a) (1R,3S)-1-bromo-3-isopropilcicloesano o (1R,3R)-1-bromo-3-isopropilcicloesano
    b) cis-1-bromo-4-isopropilcicloesano o trans-1-bromo-4-isopropilcicloesano
    c) (1R,3S,4S)-1-bromo-4-isobutil-3-metilcicloesano o (1R,3S,4R)-1-bromo-4-isobutil-3-metilcicloesano
    d) (1R,3S,4S)-1-bromo-4-isobutil-3-metilcicloesano o (1R,3R,4S)-1-bromo-4-isobutil-3-metilcicloesano

    13) Scrivere i prodotti delle seguenti reazioni. Mostrare il meccanismo di reazione. Indicare la stereochimica quando opportuno.

    a) (2R)-2-bromo-3-metilbutano + idrossido di sodio

    b) (2R)-2-bromo-3-metilbutano + idrossido di sodio a caldo (100°C)          

    c) (2R)-2-bromo-3-metilbutano + DBN

    d) (2R)-2-bromo-3-metilbutano + acetato di sodio

    e) 1-bromocicloesano + idrossido di sodio

    f) 1-bromocicloesano + t-butossido di potassio

    g) 1-bromo-3-metilbutano + t-butossido di potassio

    h) 1-bromo-3-metilbutano + idrossido di potassio

    i) 1-cloro-1-metilciclopentano + metossido di sodio

    l) 1-cloro-1-metilciclopentano + acqua

    14) Rappresenta i prodotti delle seguenti reazioni E2, tenendo presente la stereochimica (NB: seguire la stereochimica nel corso della reazione)

    a) (2S,3S)-2-bromo-3-metilesano + OH a caldo

    b) (2S,3R)-2-bromo-3-metilesano + OH a caldo

    c) (2R,3R)-2-bromo-3-metilesano + OH a caldo

    d) (2R,3S)-2-bromo-3-metilesano + OH a caldo

    e) (2S,3S)-2-fluoro-3-metilesano + OH a caldo

    15) Partendo dall’opportuno alogenuro alchilico e scegliendo le giuste condizioni di reazione, illustrare il meccanismo di reazione della sintesi dei seguenti composti. Indicare eventuali altri prodotti fornendo per tutti il nome IUPAC completo di stereochimica.      

    a) 1-metil-1-cicloesene
    b) (3R)-3-metil-1-1cicloesene
    c) 2-metil-1-pentene
    d) 2-metil-2-pentene
    e) (2Z)-3-metil-2-pentene
    f) (2E)-3-metil-2-pentene

    16) Qual è il meccanismo di reazione (SN1, SN2, E1, E2) più probabile nelle seguenti condizioni di reazione? Argomentare la scelta fatta

    a) 2-bromopropano + KI in acetone; 

    b) 2-bromopropano + acetato di sodio in acqua; 

    c) 2-bromo-2-metilpropano + etanolo; 

    d) 2-bromo-2-metilpropano+ etanolo, a caldo.

    17) Scrivere i prodotti principali delle seguenti reazioni. Mostrare il meccanismo di reazione. Indicare la stereochimica quando opportuno. Inoltre, disegnare per ciascuna reazione il diagramma di energia libera/coordinata di reazione (corredato delle strutture degli stati di transizione e degli eventuali intermedi di reazione).

    a) (2S)-2-bromo-3-metilpentano + t-butossido di potassio

    b) 1-bromo-1-metilcicloesano + acqua     

    c) 1-bromo-1-metilcicloesano + DBN

    d) (2S,3R)-2-bromo-3-metilpentano + idrossido di sodio

    e) (2R)-2-fluorobutano + metossido di potassio

    f) (clorometil)cicloesano + t-butossido di potassio

    g) (1S,2R)-1-cloro-3-metilcicloesano + etossido di potassio

    h) (1R,2R)-1-cloro-3-metilcicloesano + etossido di potassio

    i) 3-bromo-1-cicloesene + acqua

    l) 3-bromo-1-cicloesene + metossido di sodio

    18) Scrivere i prodotti principali delle seguenti reazioni (indicare anche la stereochimica dei prodotti):

    19) Scrivere i prodotti principali delle seguenti reazioni, motivando la risposta

    –> ESERCIZI GUIDATI (segui il link)

    Verso la terza prova intercorso: esercitazione

    Di seguito troverete 3 set di esercizi che possono essere usati come simulazioni per la prova stessa per capire se ci sono argomenti ancora poco chiari o su cui dovete ancora esercitarvi.
    Suggerimento: per poter usare questi esercizi come test di autovalutazione, svolgerli senza l’ausilio di libro/appunti ed impiegando un tempo massimo di 90 minuti per ciascun set.

    PRIMO SET

    1. Analizzare il diagramma di energia libera/coordinata di reazione dell’addizione di HCl al 2-metilpropene e rispondere ai seguenti quesiti.

    a) Cosa possiamo dire circa il ΔG° della reazione?

    b) Cosa possiamo dire circa la Keq della reazione?

    c) Di quanti stadi si compone la reazione?

    d) Qual è lo stadio cineticamente determinante?

    e) Indicare sul grafico l’energia di attivazione relativa allo stadio cineticamente determinante.

    f) Cosa sono, rispettivamente, B, C e D?

    g) Disegnare la struttura di B e C

    h) Spiegare perché la reazione è regioselettiva

    2. Disponi i seguenti composti in ordine di calore di idrogenazione crescente          

    3. Partendo dall’opportuno alchene, illustrare il meccanismo di reazione della sintesi del seguente composto. Indicare eventuali altri prodotti fornendo per tutti il nome IUPAC completo di stereochimica.

    4. Scrivere i prodotti principali delle seguenti reazioni. Indicare la stereochimica, quando opportuno.                     

    5. Indicare le condizioni ottimali per le seguenti reazioni:         

    6. Mostrare le condizioni di reazione e il meccanismo della seguente trasformazione (ignorare la stereochimica).                                     

    7.  Assegnare il nome IUPAC, comprensivo di stereochimica, al seguente composto                                            

    8. Disporre i seguenti composti in ordine di basicità decrescente e motivare la risposta data           

                                             

                                                                                                       

    SECONDO SET

    1. Il 2-metil-2-butene reagirà con Cl2 in acqua per dare un’aloidrina (ignorare la stereochimica). La reazione ha Keq>1. Mostrare il meccanismo di reazione, inclusi gli stati di transizione. Poi, disegnare il diagramma energetico della reazione. Indicare nel diagramma le parti corrispondenti a reagenti, prodotti, stato di transizione, intermedio, variazione dell’energia libera di Gibbs, energia di attivazione di ciascuno stadio della reazione.                                                                                                                                                                        

    2. Ordina i seguenti composti dal meno stabile al più stabile                                              

    3. Dire quale tra i composti b e c dell’esercizio precedente reagisce più velocemente con HBr e spiegare perchè.

    4. Scrivere i prodotti principali delle seguenti reazioni. Indicare la stereochimica, quando opportuno

    5. Indicare le condizioni ottimali per ottenere ciascuno dei seguenti composti a partire dal (R)-3-metilciclopentene. Se quello ottenuto non è l’unico prodotto di reazione, indicare gli ulteriori altri prodotti formati, dire in che relazione sono col prodotto riportato e indicare se si formano o meno in quantità equimolari rispetto a quest’ultimo. NB: se non si formano ulteriori prodotti, scrivere “nessuno” nella casella dedicata.   

    6. Partendo dall’opportuno alchene, illustrare il meccanismo di reazione della sintesi del seguente composto. Indicare eventuali altri prodotti fornendo per tutti il nome IUPAC completo di stereochimica.

     7.  Scrivere tutte le strutture limite di risonanza del seguente carbocatione

    8. Disporre i seguenti composti in ordine di acidità crescente e motivare la risposta data       

                           

    TERZO SET

    1. Partendo dall’opportuno alchene, illustrare il meccanismo di reazione della sintesi del seguente composto. Indicare eventuali altri prodotti fornendo per tutti il nome IUPAC completo di stereochimica.

    2. Il prodotto principale della reazione di idratazione del seguente composto è diverso rispetto al prodotto principale della reazione di ossimercuriazione/riduzione. Mostrare il meccanismo delle due reazioni, mettendo in evidenza i fattori che determinano la formazione di due prodotti diversi.

    3. Completare il seguente schema inserendo le condizioni di reazioni o i prodotti mancanti. Evidenziare la stereochimica.

    4. Mostrare come il seguente anione è stabilizzato per risonanza

    5. Dare il nome IUPAC ai seguenti composti:

    6. Scrivere i prodotti principali delle seguenti reazioni.

    7. Ordinare i seguenti composti dal valore più alto di calore di idrogenazione (1) al valore più basso (3)

    8. . Disporre i seguenti composti in ordine di basicità decrescente e spiegare sinteticamente il perché: 

                                                                     

                       

    Cosa fare se si riscontrano difficoltà o se si hanno dubbi:
    -rivedere gli argomenti problematici (NB: non si possono risolvere gli esercizi senza aver studiato la teoria, per cui sarà necessario studiare e approfondire l’argomento ed eventualmente-successivamente-esercitarsi ulterioremente utilizzando sia gli esercizi del libro sia quelli presenti su questo blog).
    -contattare il docente: è possibile sia chiedere spiegazioni a lezione, sia fare ricevimento (anche in gruppo)

    Delocalizzazione elettronica

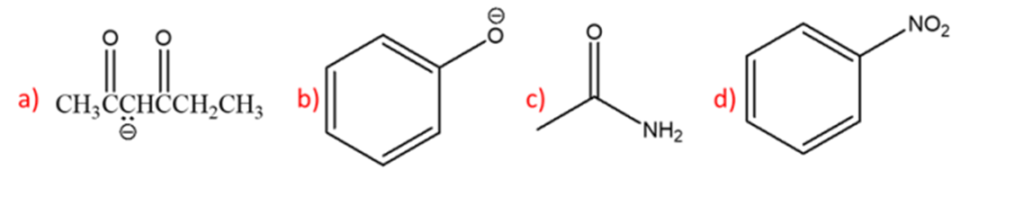
    1) Quali delle seguenti specie hanno elettroni delocalizzati?

    2) Mostrare il movimento degli elettroni che ha permesso di ottenere le strutture di risonanza illustrate a destra della freccia

    3) Scrivere le strutture limite di risonanza per le seguenti specie chimiche:

    4) Scrivere 3 strutture limite di risonanza per il seguente composto

    5) Per ciascuna coppia, dire quale delle seguenti strutture limite di risonanza contribuisce in misura maggiore all’ibrido di risonanza:

    6) Individuare i doppi legami coniugati nelle segeunti molecole:

    7) Disponi i seguenti composti in ordine di calore di idrogenazione decrescente, motivando la risposta

    8) Disporre i seguenti carbocationi in ordine di stabilità crescente

    9) Dire quale è il carbocatione più stabile tra i seguenti, spiegando i fattori che contribuiscono a stabilizzarli. Scrivere le strutture di risonanza per i carbocationi che possono essere stabilizzati per risonanza.

    10) Scrivere tutte le strutture limite di risonanza del seguente carbocatione          

    11) Disporre i seguenti composti in ordine di acidità crescente e spiegare sinteticamente il perché:                           

    12) Disporre i seguenti composti in ordine di acidità decrescente e spiegare sinteticamente il perché:                           

    13) Quale delle seguenti aniline sostituite è la più basica?

    14) Disponi i seguenti composti in ordine di basicità crescente. Giustificare la risposta

    15) Proporre i prodotti principali della reazione dei seguenti composti con acido bromidrico. Mostrare tutte le strutture di risonanza dell’intermedio carbocationico

    16) Il prodotto principale della reazione di idratazione del seguente composto è diverso rispetto al prodotto principale della reazione di ossimercuriazione/riduzione. Mostrare il meccanismo delle due reazioni, mettendo in evidenza i fattori che determinano la formazione di due prodotti diversi.

    17) Mostrare il meccanismo di reazione di idratazione acido-catalizzata, che porta alla formazione dei prodotti principali a partire dal seguente composto:       

    « Older Entries Recent Entries »