Esercitazione per la prova scritta…
Suggerimento: per poter usare questi set di esercizi come test di autovalutazione, svolgerli senza l’ausilio di libro/appunti ed impiegando un tempo massimo di 2 ore per ciascun set.
PRIMO SET
1. Attribuire il nome IUPAC, comprensivo di stereochimica, al seguente composto:

2) Scrivere un composto di formula C9H18 che contenga solo idrogeni primari
3) Dire quale tra le seguenti strutture è il (2R, 3S)-2-bromo-3-pentanolo

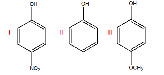
4) Mettere i seguenti composti in ordine di acidità crescente. Giustificare la risposta.

5) Individuare i composti aromatici tra quelli mostrati di seguito

6) Basandosi sul seguente diagramma energetico, completare le seguenti frasi: A) il composto_____si formerà più velocemente a partire da B. B) Il composto più stabile è____perchè___________________________________

7) Da quale/i delle seguenti reazioni si forma un composto meso?

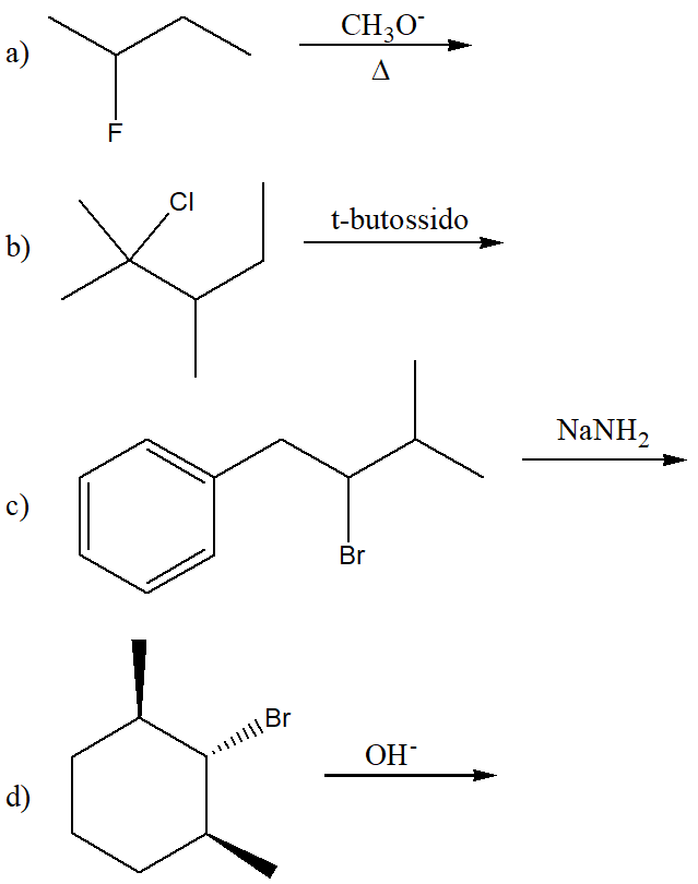
8) Scrivere i prodotti principali delle seguenti reazioni:

9) Mostrare il meccanismo di reazione del cicloesanone con la pirrolidina (=azaciclopentano)
10)Scrivere il dipeptide Gly-Ala (R=H per Gly, CH3 per Ala)
SECONDO SET
1. Attribuire il nome IUPAC, comprensivo di stereochimica, ai seguenti composti:

2. Scrivere i seguenti composti in proiezione di Fischer e rispondere alle domande I e II:

3) Quali sono la geometria, l’angolo di legame e l’ibridazione previste per il radicale metile?
4) Mettere i seguenti composti in ordine di acidità decrescente. Giustificare la risposta.

5) Disegnare il conformero a sedia meno stabile del trans-1-t-butil-3-metilcicloesano. Spiegare brevemente i fattori che rendono questo conformero meno stabile rispetto a quello che si ottiene effettuando l’inversione della sedia
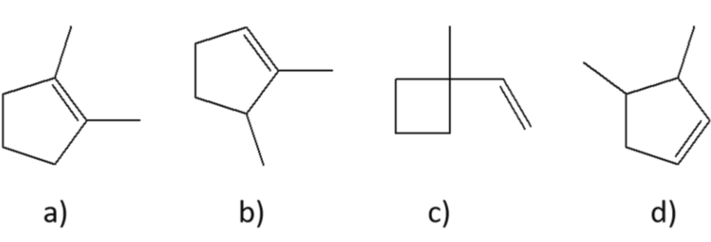
6) Quale/i dei seguenti alcheni darà come prodotto l’1-bromo-1,2-dimetilciclopentano come prodotto principale della reazione con HBr?

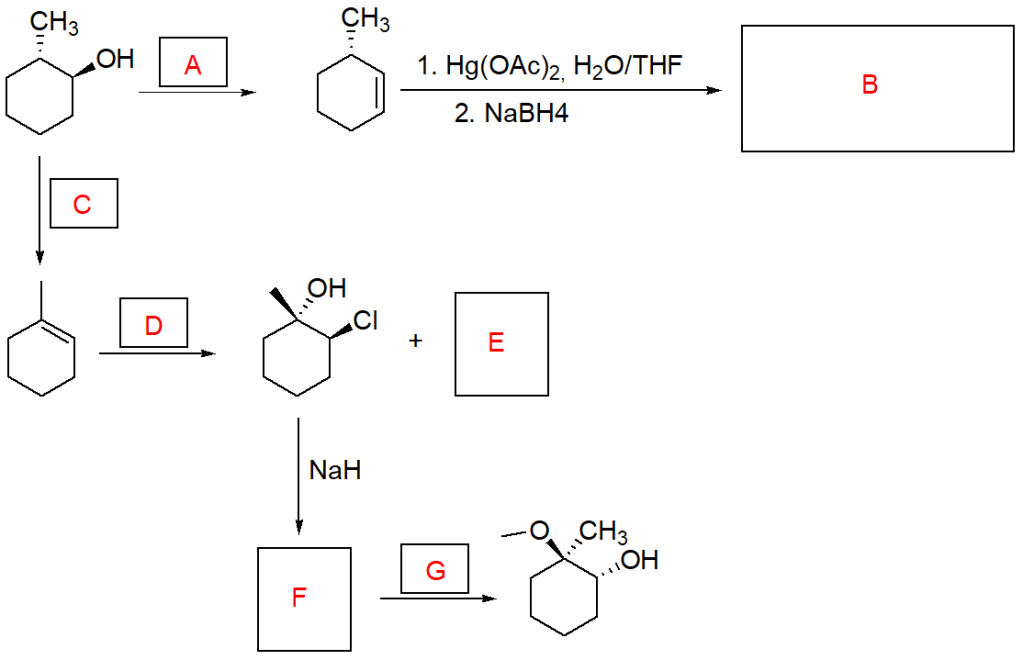
7) Completare il seguente schema di sintesi

8) Mostrare la strategia e il meccanismo di reazione per sintetizzare il 3-metil-2-cicloesenone mediante condensazione aldolica a partire dall’opportuno composto a catena lineare.
9) Il mannosio è l’epimero in 2 del glucosio. Scriverere il β-D-mannopiranosio in proiezione di Haworth
Cosa fare se si riscontrano difficoltà o se si hanno dubbi:
-rivedere gli argomenti problematici (NB: non si possono risolvere gli esercizi senza aver studiato la teoria, per cui sarà necessario studiare e approfondire l’argomento ed eventualmente-successivamente-esercitarsi ulterioremente utilizzando sia gli esercizi del libro sia quelli presenti su questo blog).
-contattare il docente: è possibile sia chiedere spiegazioni, sia fare ricevimento (anche in gruppo) o organizzare esercitazioni dedicate


































































You must be logged in to post a comment.