Altre reazioni di addizione elettrofila agli alcheni
Esercizio n. 1
Mostrare i meccanismi delle seguenti reazioni di alogenazione degli alcheni

Esercizio n. 2
Ognuno dei seguenti alcheni viene trattato prima con diborano in tetraidrofurano (THF) a formare un trialchilborano e quindi con perossido di idrogeno in idrossido di sodio acquoso. Disegnare la formula di struttura dell’alcol che si forma. Nel caso, specificare la stereochimica
a) Propene b) Ciclopentene
c) 1-Metil-1-ciclopentene d) (2E)-3-Metil-2-pentene
e) (2Z)-3-Metil-2-pentene f) 1-Metil-1-cicloesene
Esercizio n. 3
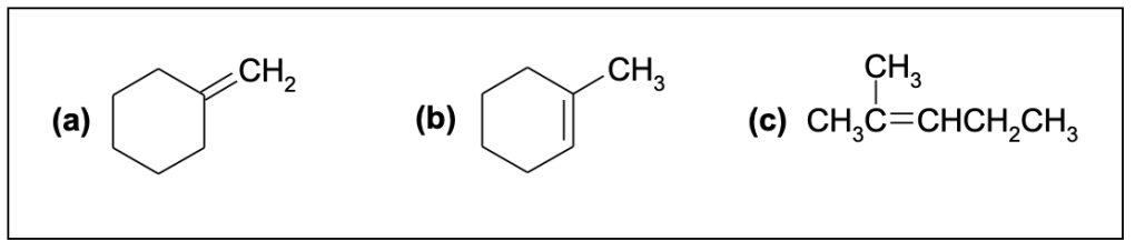
Ognuno dei seguenti alcheni viene trattato prima con diborano in tetraidrofurano (THF) a formare un trialchilborano e quindi con perossido di idrogeno in idrossido di sodio acquoso. Disegna la formula di struttura dell’alcol che si forma. Nel caso, specifica la stereochimica.

Esercizio n. 4
La reazione del 2-metil-2-pentene con ognuno dei seguenti reagenti mostra un’alta regioselettività. Disegna la formula di struttura del prodotto maggioritario di ogni reazione e spiega la regioselettività osservata.
a) HBr
b) H2O in presenza di H2SO4
c) Br2 in acqua
d) Cl2
e) Hg(OAc)2, H2O
Esercizio n. 5
Il trattamento del 2-metilpropene con metanolo in presenza di acido solforico dà un composto di formula C5H12O. Proponi una formula di struttura per questo composto e un meccanismo d’azione per la sua formazione.
You must be logged in to post a comment.