Verso la prova intercorso: acidi e basi
Esercizio n. 1
Identificare gli acidi e le basi (compresi quelli coniugati) nelle seguenti reazioni:

Esercizio n. 2
Individuare la base più forte nelle seguenti coppie. (La base più stabile è quella più debole)

Esercizio n. 3
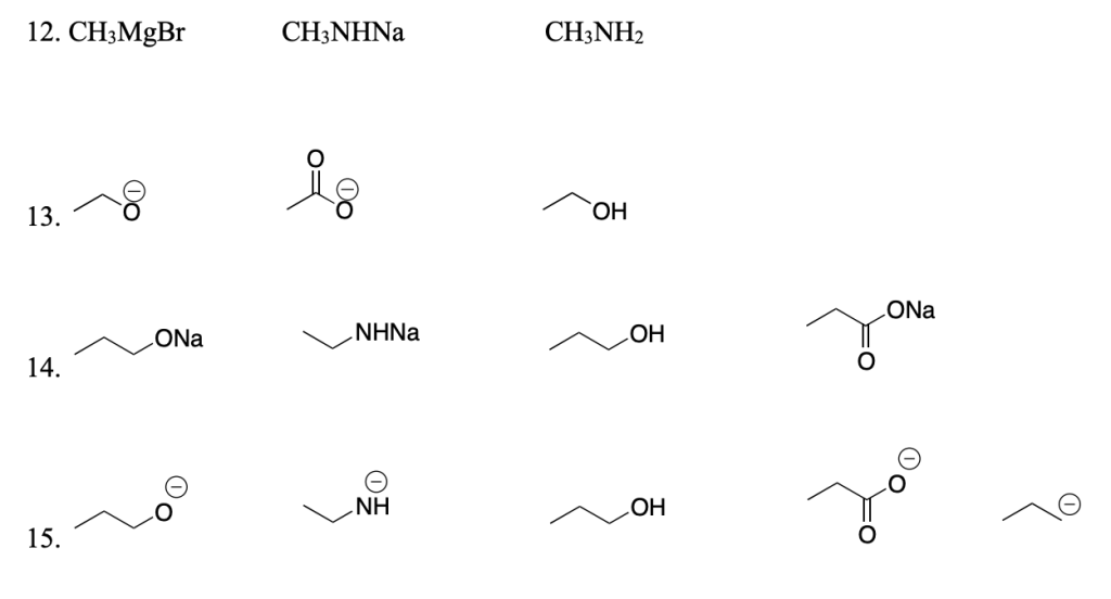
Ordina ciascuno dei seguenti insiemi di basi in ordine crescente di basicità

Esercizio n. 4
Individuare l’acido più forte nelle seguenti serie di specie chimiche.

Esercizio n. 5
Ordina ciascuno dei seguenti insiemi di acidi in ordine crescente di acidità

Esercizio n. 6
Scriverere le frecce nelle seguenti reazioni acido-base, indicando se l’equilibrio favorisce i reagenti o i prodotti

You must be logged in to post a comment.