Reazioni organiche: nucleofili ed elettrofili; utilizzo delle frecce ricurve
1) Dire quali delle seguenti specie chimiche tenderanno a reagire come nucleofili e quali come elettrofili

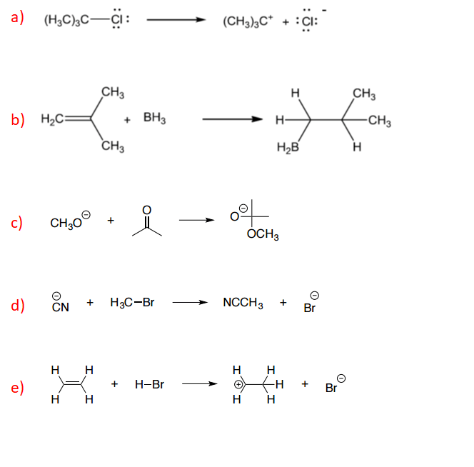
2) Di seguito sono mostrate alcune reazioni. Utilizzare le frecce ricurve per mostrare il movimento degli elettroni.


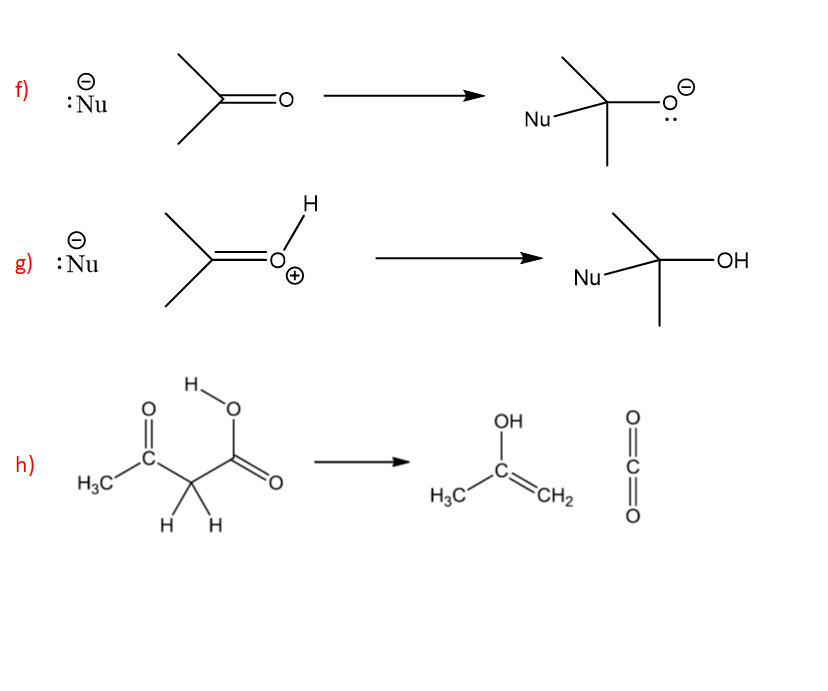
3) Sulla base del movimento degli elettroni mostrato dalle frecce ricurve nelle seguenti reazioni, disegnare i prodotti

Prof mi scusi, come posso inviarle il numero 2 e 3 per vedere se sono corretti?
LikeLike
Basta inviare una foto (leggibile) via chat di teams
LikeLike
ESERCIZIO 1
a) Nucleofilo: S ha 2 coppie solitarie pertanto è un centro ricco di elettroni
b) Elettrofilo: Carbocatione
c) Nucleofilo: gli elettroni pi greco del doppio legame compiono l’attacco nucleofilo
d) Nucleofilo o Elettrofilo a seconda delle condizioni di reazione
e) Nucleofilo: presenta una carica negativa e in particolare 3 coppie solitarie, centro ricco di elettroni
f) Nucleofilo
g) Nucleofilo
h) Nucleofilo
i) Elettrofilo: il boro B ha l’ottetto incompleto dunque è un centro povero di elettroni
l) Nucleofilo
ESERCIZIO 2 e 3 le invio la foto sulla chat di Teams
LikeLike
Pingback: Esercizi | Chimica Organica-DiSTABiF