1) A• Faccio reagire il 2-pentanone con reattivo di Grignard (CH3MgBr) in ambiente acido.
B• Faccio reagire il ciclopentanone con reattivo di Grignard (bromuro di fenil magnesio) in ambiente acido.
2) A• Il ciclopentanone reagisce con un’ammina secondaria e forma una enammina.
B• Il ciclopentanone reagisce con un’ammina primaria e forma una immina.
C,D• Il butanale reagisce con ammine primarie formando in entrambi i casi delle immine.
E,F• 1-(3-metilfenil) etanone reagisce con ammine secondarie in entrambi i casi formando enammine. Prof è corretto il nome del chetone ?
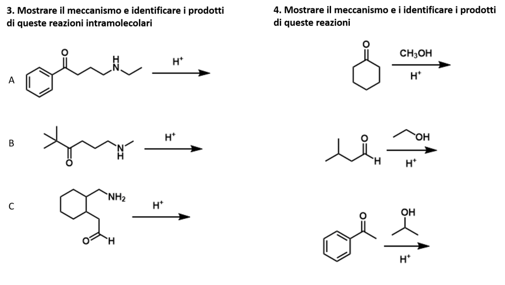
4) • Il chetone con un equivalente di alcol forma un emichetale, in questo caso il prodotto sarà 1-metossicicloesanolo.
Il prodotto che si forma quando si addiziona un secondo equivalente di alcol è un chetale dunque 1,1-dimetossicicloesano.
•L’aldeide addizionato con un equivalente di alcol forma un emiacetale, in questo caso il prodotto è 1-etossi-3-metil-butan-1-olo. L’aldeide se addizionato a due equivalenti di alcol si forma un acetale dunque 1,1-dietossi-3-metilbutano.
• Con un solo equivalente di alcol ottengo 2-fenil-2-isopropossi-2-etanolo.
Con due equivalenti di alcol ottengo 1-(1,1-diisopropossietil)benzene. Non so se il nome sia corretto.
Esercizo 6
La prima reazione può avvenire velocemente, poichè l’acido andrà a protonare l’ossigeno rendendo più elettrofilo il carbonio.
Nella seconda reazione l’alchene è un buon nucleofilo, il carbonio dunque non sarà un sito elettrofilo da garantire l’attacco.
Eserczio 7
A) In questo caso con il reattivo di Grignard si preferisce l’addizione diretta e quindi l’attacco avverrà al carbonio carbonilico. Il prodotto sarà 2-fenil-3-penten-2-olo.
B) Il nucleofilo è una base debole dunque formerà prodotti di addizione coniugata. Il prodotto sarà 2-metil-4-osso-pentanonitrile.
Numero 7
A. Il nucleofilo (reattivo di Grignard) è una base forte e la reazione è sotto il controllo cinetico. In questo caso il composto non presenta ingombro sterico quindi sarà formato il prodotto di addizione diretta, 2-fenil-3-penten-2-olo.
B. Il nucleofilo (ione cianuro) è una base debole e forma quindi prevalentemente il prodotto più stabile di addizione coniugata, 2-metil-4-ossopentanonitrile.
Numero 8
A. Ciclopentancarbaldeide + due equivalenti di etanolo in ambiente acido
B. 2-metilpropanale + 1,3-dimetilpropan-1,3-diolo in ambiente acido per dare l’acetale ciclico.
Numero 9
1-bromopropano + trifenilfosfina dopo una SN2 e trattamento con butillitio forma l’ilide di fosfonio (C6H5)3P=CHCH2CH3 (A), che con l’aggiunta del propanone forma 2-metil-2-pentene (B) + ossido di trifenilfosfina.
Numero 10
A) ciclopentanone + (C6H5)3P=CH2 → metilenciclopentano
B. 2-butanone + (C6H5)3P=CHCH3 → 3-metil-2-pentene. La reaziode di Wittig per alcheni interni prevede la formazione di una miscela di E e Z
C. 1-feniletanone + (C6H5)3P=CHCH2CH3 → (E)-2-fenil-2-pentene. Prof. in questo caso perché ottengo soltanto l’alchene E? Il motivo riguarda la struttura dell’ilide o forse perché si considerano gli effetti sterici?
Esercizio 9
1-bromopropano reagisce con trifenilfosfina in un meccanismo SN2, successivamente ci sarà la reazione con BuLi per formare un ilide di fosfonio (C6H5)3P=CHCH2CH3. Questo reagisce con il propanone formando il 2-metil-2-pentene più trifenilfosfina ossido.
Esercizio 10
A) Il ciclopentanone reagisce in una reazione di Wittig con (C6H5)3P=CH2 per formare il metilenciclopentano.
B) Il 2-butanone reagisce in una reazione di Wittig con (C6H5)3P=CHCH3 per formare (E)-3-metil-2-pentene + (Z)-3-metil-2-pentene.
C) Il metil fenil chetone in una reazione di Wittig reagisce con (C6H5)3P=CHCH2CH3 per formare (E)-2-fenil-2-pentene.
1) A• Faccio reagire il 2-pentanone con reattivo di Grignard (CH3MgBr) in ambiente acido.
B• Faccio reagire il ciclopentanone con reattivo di Grignard (bromuro di fenil magnesio) in ambiente acido.
2) A• Il ciclopentanone reagisce con un’ammina secondaria e forma una enammina.
B• Il ciclopentanone reagisce con un’ammina primaria e forma una immina.
C,D• Il butanale reagisce con ammine primarie formando in entrambi i casi delle immine.
E,F• 1-(3-metilfenil) etanone reagisce con ammine secondarie in entrambi i casi formando enammine. Prof è corretto il nome del chetone ?
LikeLike
4) • Il chetone con un equivalente di alcol forma un emichetale, in questo caso il prodotto sarà 1-metossicicloesanolo.
Il prodotto che si forma quando si addiziona un secondo equivalente di alcol è un chetale dunque 1,1-dimetossicicloesano.
•L’aldeide addizionato con un equivalente di alcol forma un emiacetale, in questo caso il prodotto è 1-etossi-3-metil-butan-1-olo. L’aldeide se addizionato a due equivalenti di alcol si forma un acetale dunque 1,1-dietossi-3-metilbutano.
• Con un solo equivalente di alcol ottengo 2-fenil-2-isopropossi-2-etanolo.
Con due equivalenti di alcol ottengo 1-(1,1-diisopropossietil)benzene. Non so se il nome sia corretto.
LikeLike
Esercizo 6
La prima reazione può avvenire velocemente, poichè l’acido andrà a protonare l’ossigeno rendendo più elettrofilo il carbonio.
Nella seconda reazione l’alchene è un buon nucleofilo, il carbonio dunque non sarà un sito elettrofilo da garantire l’attacco.
Eserczio 7
A) In questo caso con il reattivo di Grignard si preferisce l’addizione diretta e quindi l’attacco avverrà al carbonio carbonilico. Il prodotto sarà 2-fenil-3-penten-2-olo.
B) Il nucleofilo è una base debole dunque formerà prodotti di addizione coniugata. Il prodotto sarà 2-metil-4-osso-pentanonitrile.
LikeLike
Numero 7
A. Il nucleofilo (reattivo di Grignard) è una base forte e la reazione è sotto il controllo cinetico. In questo caso il composto non presenta ingombro sterico quindi sarà formato il prodotto di addizione diretta, 2-fenil-3-penten-2-olo.
B. Il nucleofilo (ione cianuro) è una base debole e forma quindi prevalentemente il prodotto più stabile di addizione coniugata, 2-metil-4-ossopentanonitrile.
Numero 8
A. Ciclopentancarbaldeide + due equivalenti di etanolo in ambiente acido
B. 2-metilpropanale + 1,3-dimetilpropan-1,3-diolo in ambiente acido per dare l’acetale ciclico.
Numero 9
1-bromopropano + trifenilfosfina dopo una SN2 e trattamento con butillitio forma l’ilide di fosfonio (C6H5)3P=CHCH2CH3 (A), che con l’aggiunta del propanone forma 2-metil-2-pentene (B) + ossido di trifenilfosfina.
Numero 10
A) ciclopentanone + (C6H5)3P=CH2 → metilenciclopentano
B. 2-butanone + (C6H5)3P=CHCH3 → 3-metil-2-pentene. La reaziode di Wittig per alcheni interni prevede la formazione di una miscela di E e Z
C. 1-feniletanone + (C6H5)3P=CHCH2CH3 → (E)-2-fenil-2-pentene. Prof. in questo caso perché ottengo soltanto l’alchene E? Il motivo riguarda la struttura dell’ilide o forse perché si considerano gli effetti sterici?
LikeLike
Esercizio 9
1-bromopropano reagisce con trifenilfosfina in un meccanismo SN2, successivamente ci sarà la reazione con BuLi per formare un ilide di fosfonio (C6H5)3P=CHCH2CH3. Questo reagisce con il propanone formando il 2-metil-2-pentene più trifenilfosfina ossido.
Esercizio 10
A) Il ciclopentanone reagisce in una reazione di Wittig con (C6H5)3P=CH2 per formare il metilenciclopentano.
B) Il 2-butanone reagisce in una reazione di Wittig con (C6H5)3P=CHCH3 per formare (E)-3-metil-2-pentene + (Z)-3-metil-2-pentene.
C) Il metil fenil chetone in una reazione di Wittig reagisce con (C6H5)3P=CHCH2CH3 per formare (E)-2-fenil-2-pentene.
LikeLike