Surprise Organic Chemistry Challenge
Regolamento:
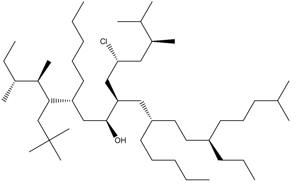
- Vincerà la sfida (2 punti) chi attribuirà per primo il nome IUPAC (comprensivo di stereochimica) CORRETTO al seguente composto.
- La risposta va inserita nei commenti al post.
- Ognuno può rispondere solo una volta (anche in presenza di più di un commento pubblicato dalla stessa persona, soltanto il primo sarà preso in considerazione).
- Il tempo massimo a disposizione sarà di 12h dalla pubblicazione del post.
- Il vincitore sarà annunciato lunedì a lezione







You must be logged in to post a comment.