Reazioni di addizione elettrofila agli alcheni che prevedono la formazione di intermedi carbocationici
NB: PRIMA di AFFRONTARE GLI ESERCIZI DI QUESTO POST è NECESSARIO AVER STUDIATO E COMPRESO AL FONDO LA PARTE RELATIVA AGLI ASPETTI TERMODINAMICI E CINETICI DELLE REAZIONI, OLTRE AI MECCANISMI DI ADDIZIONE DI HX, ACQUA E ALCOL AD UN ALCHENE (INCLUSI GLI ASPETTI STEREOCHIMICI)
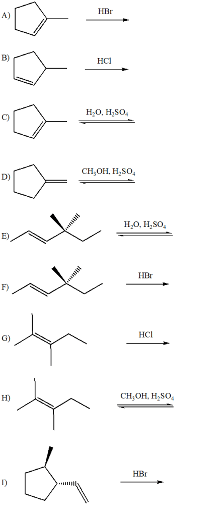
1) Scrivere il meccanismo e il/i prodotto/i (indicando qual è il principale, quando necessario) della reazione dei seguenti composti con HCl. Indicare anche la stereochimica dei prodotti e assegnare il nome IUPAC a ciascuno di essi.
a) 2-metil-2-pentene
b) 2-metil-1-pentene
c) (2E)-4-metil-2-pentene
d) 4-metil-1-pentene
e) (4R)-4-metil-1-esene
f) 4-etil-2-esene
g) (2Z)-4,4-dimetil-2-pentene
h) (2E)-4,4-dimetil-2-pentene
i) 1-metil-1-cicloesene
l) (6S)-1,6-dimetil-1-cicloesene
2) Proporre una strategia per la sintesi dei seguenti alogenuri alchilici partendo da un alchene. Quando sono possibili più opzioni, scegliere quella che darà il composto desiderato come prodotto principale o come unico prodotto e argomentare la scelta. Infine, per ogni reazione, indicare la stereochimica dei prodotti.
a) 2-cloropentano
b) 2-bromo-2-metilbutano
c) 2-cloro-2,3-dimetilbutano
d) 2-cloro-2,3-dimetilpentano
3) Per le reazioni dell’1-butene e del 2-butene con I) acido bromidrico e II) con acqua in ambiente acido:
1) mostrare i meccanismi;
2) disegnare, per ciascuna reazione, un grafico della variazione dell’energia libera rispetto alla coordinata di reazione in cui vengono indicate le strutture dei reagenti, degli stati di transizione, degli intermedi e dei prodotti;
3) se i carbocationi che si formano sono caratterizzati da stabilità differente, dire quali fattori stabilizzano i carbocationi più stabili
4) indicare se le reazioni sono o meno regioselettive (e quando possibile indicare anche il grado di regioselettività).
4) I seguenti meccanismi di reazione sono caratterizzati da un certo numero di errori gravissimi. Individuarli e correggerli.



5) La coordinata di reazione qui sotto mostra il profilo energetico della reazione di 3 alcheni diversi con HBr. Identificare alla reazione di quale alchene si riferisce ciascuna curva:

6) Completare i prodotti della seguente reazione, prendendo in considerazione quella che è la posizione relativa dei sostituenti già indicati (attenzione: tutte le strutture dei prodotti sono qui riportate come conformazioni eclissate, anche quelle che derivano dall’addizione sin).

7) Scrivere il meccanismo e il/i prodotto/i principale/i della reazione di idratazione acido-catalizzata dei composti dell’esercizio 1. Indicare anche la stereochimica e assegnare il nome IUPAC a ciascuno dei prodotti.
8) Di seguito è mostrato il diagramma energetico della reazione di idratazione acido-catalizzata del 2-butene:

a) Cosa possiamo dire circa il ΔG° della reazione?
b) Cosa possiamo dire circa la Keq della reazione?
c) Di quanti stadi si compone la reazione?
d) Qual è lo stadio cineticamente determinante?
e) Indicare sul grafico l’energia di attivazione relativa a ciascuno stadio
f) Disegnare lo stato di transizione dello stadio cineticamente determinante.
g) Quanti intermedi si formano nel corso della reazione? Disegnarne la/le struttura/e.
9) Disegnare il diagramma energetico della reazione del 2-metil-2-butene con HCl e giustificare la regioselettività della reazione.
10) Spiegare perchè il prodotto della reazione di idratazione acido-catalizzata del (4R)-4-metil-1-esene ruota il piano della luce polarizzata.
11) Mostrare il meccanismo e i prodotti delle seguenti reazioni. Nel caso, indicare il/i prodotti principali. Indicare la stereochimica e attribuire il nome IUPAC a tutti i prodotti.

12) Metti i seguenti carbocationi in ordine di stabilità crescente, motivando la scelta:

Pingback: Reazioni di addizione elettrofila agli alcheni | Chimica Organica-DiSTABiF
Suggerimenti: per gli esercizi 1-3 e 7 è possibile usare il libro per controllare sia che i meccanismi siano corretti, sia che lo siano stereochimica e grafici. Per l’esercizio 1 e per il 7, se volete un feedback, potete inserire i nomi IUPAC dei prodotti nei commenti. Per l’esercizio 2, potete inserire il nome dell’alchene di partenza.
Note:
-Per le reazioni che prevedono l’intervento di carbocationi, la geometria dell’alchene iniziale non è rilevante (poiché la reazione non è stereospecifica)
-Trasposizioni devono essere mostrate nel caso degli alcheni c,f,g,h
-Per le reazioni che non sono stereoselettive, si può non seguire la stereochimica nel corso della reazione, ma è sempre necessario indicare la stereochimica dei prodotti.
Cose cui fare attenzione (dato che spesso vi dimenticate di farlo): è necessario scrivere sempre le cariche (che sono parte integrante della struttura); lo stesso vale per le cariche parziali quando si scrivono gli stati di transizione; le frecce ricurve partono dal nucleofilo e puntano verso l’elettrofilo; è necessario usare le frecce tra un passaggio e l’atro delle reazioni.
Per il ragionamento da seguire nel caso dell’esercizio 2, vedere la “strategia per la risoluzione dei problemi” pag. 243-244.
Per quanto riguarda gli esercizi 5,10 e 12, potete inserire le risposte nei commenti per ottenere l’eventuale correzione.
Nei prossimi giorni saranno caricate soluzioni di alcuni degli esercizi di questo set (che non includono quelli indicati sopra).
LikeLike
Soluzioni di alcuni esercizi: https://drive.proton.me/urls/QBC3NZ2JWC#xMl9rab5jLGF
LikeLike
Qui troverete soluzioni relative ad altri esercizi o spiegazioni che vi possono aiutare a risolverli: https://drive.proton.me/urls/E60SSTES7R#u79BaoTJVlYp
LikeLike
Pingback: Questionario dubbi su reazioni degli alcheni | Chimica Organica-DiSTABiF