Analisi conformazionale cicloalcani
1. Disporre i seguenti cicloalcani in ordine di tensione d’anello (=tensione angolare) crescente:
a) cicloesano
b) ciclopropano
d) ciclobutano
e) ciclopentano
2. Quale delle seguenti affermazioni è una descrizione corretta del conformero più stabile del 1,1,3-trimetilcicloesano?
a) il metile al C-3 è equatoriale
b) C-1 è un carbonio terziario e C-3 è primario
c) C-1 è quaternario e C-3 è secondario
d) il metile al C-3 è assiale
3. Disegnare i due conformeri a sedia dei seguenti composti e dire qual è il più stabile dei due.
a) cis-1-bromo-2-metilcicloesano
b) cis-1-isopropil-2-metilcicloesano
c) trans-1-butil-2-isopropilcicloesano
d) trans-1-terz-butil-2-metilcicloesano
e) trans-1-cloro-4-propilcicloesano.



11. Scrivete il cicloesano trisostituito riportato in basso nelle due conformazioni a sedia indicando dov’è spostato l’equilibrio. Scrivete, inoltre le due conformazioni a sedia in proiezione di Newman guardando la molecola lungo i legami C4-C5 / C2-C1.

12. Per ciascuno dei seguenti composti I) disegnare il conformero a sedia più stabile dell’isomero geometrico più stabile II) dire se si tratta dell’isomero cis o trans:
a) 1-butil-2-metilcicloesano
b) 1-terz-butil-4-metilcicloesano
c) 1,4-dietilcicloesano
13. Dire quali conformeri del cicloesano corrispondono ai minimi e ai massimi di energia (a-g) in questo grafico:

14. Quale delle seguenti proiezioni di Newman corrisponde al trans-1,4-dimetilcicloesano?

15. Contrariamente a quanto detto per la maggioranza dei cicloesani 1,3-disostituiti, il cis-1,3-cicloesandiolo diassale è più stabile del conformero diequatoriale. Fornire una spiegazione plausibile.
16. Quale dei seguenti cicloesani sostituiti presenta il minor numero di interazioni gauche?

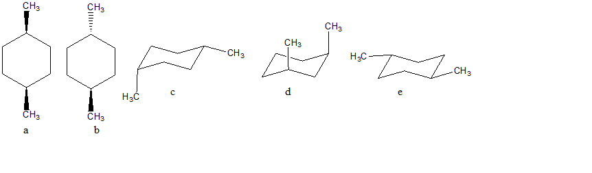
17. Confrontare le seguenti strutture e dire che relazione (isomeri di struttura, isomeri geometrici, isomeri conformazionali, ecc.) intercorre tra loro

a e b sono………………….
a e c sono………………….
a e d sono………………….
a ed e sono………………..
b e c sono………………
ecc.
18. Nel conformero a più bassa energia del seguente composto, quanti gruppi alchilici sono assiali?

19. Disegnare il conformero a minor energia del trans-1-isobutil-4-metilcicloesano e del cis-1-isobutil-4-metilcicloesano. Poi, confrontare tra loro i due isomeri geometrici Quale dei due sarà quello più stabile? Perché?
20. Il composto mostrato di seguito è il mentolo, un composto presente negli oli essenziali di diverse piante, ma in particolar ein quello della menta piperita. Disegnare le due conformazioni a sedia del mentolo e stabilire qual è la più stabile.

Soluzioni: https://drive.proton.me/urls/8R1DV38PA0#GWzsyh4nGqbf
NB: in questo file troverete le soluzioni a tutti gli esercizi, ma non sono riportate tutte secondo l’ordine numerico crescente
LikeLike