Consigli utili allo svolgimento degli esercizi relativi alle reazioni degli alcheni e materiale didattico integrativo
Quando è necessario prevedere il meccanismo e il/i prodotti principali di una reazione dobbiamo porre attenzione, dove appropriato, alla regioselettività, stereoselettività e stereospecificità della reazione stessa. È dunque chiaro che lo studio preliminare dei meccanismi di reazione è essenziale. Nel rivedere tali meccanismi, provare a razionalizzare ogni passaggio in termini di reazione del nucleofilo con l’elettrofilo.
Nel descrivere il meccanismo di reazione, è importante fare un uso corretto delle frecce ricurve, per mostrare il movimento degli elettroni, e delle frecce adatte ad indicare il passaggio da uno stadio all’altro della reazione. Prestare, inoltre, attenzione alla presenza di eventuali atomi carichi positivamente o negativamente.
Per reazioni che prevedono la formazione di un intermedio carbocationico, fare sempre attenzione alla possibilità di trasposizioni che possano portare alla formazione di un carbocatione più stabile.
Seguire l’aspetto stereochimico delle reazioni
Per le reazioni stereospecifiche* (e, di conseguenza, stereoselettive), è necessario seguire la stereochimica della reazione utilizzando le opportune rappresentazioni grafiche (per i composti a catena aperta, usare strutture a cavalletto o formule prospettiche).
Di seguito, due esempi.
Nel primo, facciamo reagire il (2E)-3-metil-2-pentene con Br2 in H2O. Mostriamo la stereochimica della reazione utilizzando le formule prospettiche.
Ricordiamo che il doppio legame è planare (i due carboni sp2 e gli atomi ad essi direttamente legati giacciono tutti in un piano); nell’immagine che segue, troverete i sostituenti legati ai carboni sp2 su cuneo pieno o su cuneo tratteggiato. Questo indica che stiamo immaginando che il piano su cui si trovano tutti i legami dei due carboni ibridati sp2 non è quello sello schermo (o del foglio), ma quello ad esso perpendicolare.
Gli elettroni π (pi-greco) potranno dare l’attacco all’elettrofilo sia al di sopra sia al di sotto del piano. Nell’immagine seguente è mostrato l’attacco verso l’alto. Si formerà quindi lo ione bromonio ciclico che subirà l’attacco del nucleofilo sul carbonio più sostituito. Questo attacco avviene in anti. Si formerà, quindi, un unico stereoisomero. (NB: per una descrizione dettagliata del meccanismo si rimanda al libro).

Da questa reazione stereospecifica (e quindi anche stereoselettiva) otterremo anche l’enantiomero del prodotto appena formato. Questo deriva dalla formazione dello ione bromonio sulla faccia inferiore del piano definito dai due carboni sp2.

NB: il prodotto ottenuto a seguito dell’attacco dell’acqua su questo ione bromonio avrà configurazione (2S,3R)
È possibile mostrare la stereochimica della reazione anche utilizzando le rappresentazioni a cavalletto.
A titolo di esempio, facciamo avvenire la reazione sull’alchene (2Z)-3-metil-2-pentene (ci aspettiamo, dunque, la formazione di due composti che saranno tra loro enantiomeri, e saranno diastereoisomeri dei prodotti della reazione precedente).
Per usare le strutture a cavalletto, riportiamo il doppio legame come mostrato di seguito (attenzione a rispettare la geometria del doppio legame!). Anche in questo caso, per attacco da parte degli elettroni π all’elettrofilo da sopra o da sotto al piano di formano due ioni bromonio. Qui è mostrato l’attacco verso il basso che porterà alla sintesi dello stereoisomero mostrato.

Per definire la stereochimica è consigliabile riportare la struttura su una proiezione di Fischer (ricordandosi di eclissarla prima di farlo).

A seguito della formazione dell’altro ione bromonio (che deriva dall’attacco al di sopra del piano), si otterrà l’enantiomero del composto qui ottenuto.
NB: avendo familiarità con le varie rappresentazioni delle molecole organiche, è possibile passare agevolmente dall’una all’altra. A questo punto potremmo, ad esempio, scrivere questo composto usando una struttura a segmenti.
La tabella 6.1 del libro può essere utile per verificare se la stereochimica della reazione è stata determinata correttamente
*Tutte le reazioni stereospecifiche sono anche stereoselettive (mentre non è sempre vero il contrario)
Analisi retrosintetica
Se per le reazioni stereospecifiche è necessario effettuare un’analisi retrosintetica (analisi necessaria per capire quale è l’alchene di partenza), è essenziale tener conto proprio della stereochimica con cui procede la reazione. È quindi fondamentale capire da quale alchene partire: per farlo, bisogna aver ben chiaro se la reazione prevede una stereochimica sin o anti.
Vediamo che succede se la reazione procede con stereochimica anti
ES.1: Partendo dall’opportuno alchene, illustrare il meccanismo di reazione della sintesi del seguente composto. Indicare eventuali altri prodotti fornendo per tutti il nome IUPAC completo di stereochimica.

Si tratta di una reazione di un alchene (3-metil-2-pentene) con bromo in metanolo. Poichè questa è una reazione stereospecifica, è ESSENZIALE capire da quale isomero (E o Z) dell’alchene bisogna partire per ottenere il prodotto desiderato. Dal momento che questa reazione è anche stereoselettiva, determiniamo le configurazioni assolute dei carboni chirali, sapendo che in questo caso otterremo anche l’enantiomero.

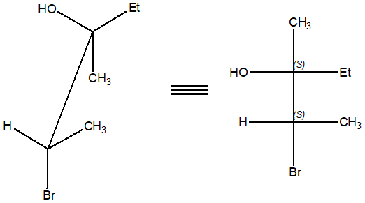
Per capire da quale alchene dobbiamo partire, trasformiamo questa proiezione di Fischer in una rappresentazione a cavalletto, sapendo che i sostituenti sulla linea verticale si trovano lontani dall’osservatore, mentre quelli sulla linea orizzontale sono rivolti verso l’osservatore:

L’addizione di bromo in metanolo procede con stereochimica anti; questo significa che Br e OMe devono trovarsi da parte opposta. Ruotiamo dunque la rappresentazione a cavalletto lungo il legame C2-C3 in modo da evidenziare quanto appena detto (dobbiamo ottenere il conformero sfalsato qui mostrato):

L’alchene di partenza è dunque (2Z)-3-metil-2-pentene (se la struttura a cavalletto è orientata come sopra mostrato e i sostituenti sono correttamente posizionati, basta a questo punto “eliminare” i due sostituenti e “aggiungere” il doppio legame come mostrato in figura).
Il seguente video può essere utile per visualizzare l’attacco in anti:
Vediamo che succede se la reazione procede con stereochimica sin
ES. 2: Da quale 2,3,4-trimetil-3-esene è possibile ottenere il seguente prodotto di idrogenazione catalitica?

L’idrogenazione catalitica porta all’addizione di un idrogeno a ciascun carbonio sp2 e procede con stereochimica sin.
La reazione è stereospecifica. Per capire da quale alchene dobbiamo partire, trasformiamo la proiezione di Fischer in una rappresentazione a cavalletto

L’addizione avviene con stereochimica sin; questo significa che i due H devono trovarsi dallo stesso lato. Ruotiamo dunque la rappresentazione a cavalletto lungo il legame C3-C4 in modo da evidenziare quanto appena detto (dobbiamo ottenere il conformero eclissato qui mostrato):

L’alchene di partenza è dunque (3Z)-2,3,4-trimetil-3-esene (se la struttura a cavalletto è orientata come sopra e i sostituenti sono correttamente posizionati, per definire l’alchene di partenza, basta a questo punto “eliminare” i due atomi di idrogeno e “aggiungere” il doppio legame come mostrato in figura). Da questo alchene, per idrogenazione catalitica, otterremo anche l’enantiomero del composto iniziale.
NB: in molti esercizi, una volta individuato l’alchene di partenza, viene poi richiesto di mostrare anche il meccanismo che porta alla formazione dei prodotti oppure viene chiesto di indicare eventuali altri prodotti (LEGGERE SEMPRE BENE LA TRACCIA).
Schemi riassuntivi e materiale didattico integrativo
Qui è possibile scaricare una tabella riassuntiva delle reazioni degli alcheni che può integrare lo schema che trovate sul libro alla fine del capitolo dedicato proprio a queste reazioni.
NB: per gli aspetti regiochimici delle reazioni per cui le informazioni non sono presenti nella tabella, far riferimento al testo e agli appunti delle lezioni (in quanto l’argomento richiede una trattazione più dettagliata; ad es.: la reazione che porta alla sintesi di aloidrine dà una regioselettività Markovnikov che è possibile capire analizzando il meccanismo della reazione).
Al link seguente è possibile scaricare un secondo schema riassuntivo sulle reazioni degli alcheni studiate. Sono inoltre riportati, nello stesso file, alcuni approfondimenti relativi sia alle trasposizioni, sia agli orbitali coinvolti in alcune delle reazioni in questione:
Infine, qui è possibile scaricare materiale relativo alla reazione di ossimercuriazione-riduzione.
Nel corso della reazione, si forma uno ione mercurinio a ponte come intermedio, che viene, a sua volta, attaccato dall’acqua. Questo stadio avviene con stereoselettività anti. In un secondo stadio, viene aggiunto NaBH4, ottenendo così il prodotto di riduzione. Questo passaggio rimescola la stereochimica, per cui il processo complessivo è un misto di addizione sin e anti.

Pingback: Reazioni di addizione elettrofila agli alcheni | Chimica Organica-DiSTABiF
Pingback: Esercizio opzionale | Chimica Organica-DiSTABiF