Esercitazione su nomenclatura IUPAC
1) Assegnare il nome IUPAC ai seguenti composti

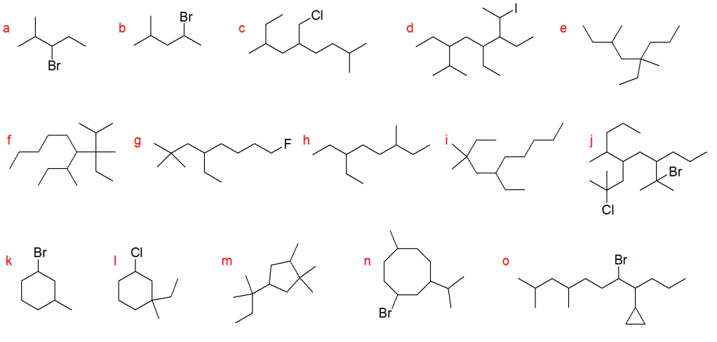
2) Assegnare il nome IUPAC ai seguenti composti

3) Assegnare il nome IUPAC ai seguenti composti

4) Rappresentare la struttura a segmenti e attribuire il nome IUPAC ad un composto di formula molecolare C10H20 che contiene solo H primari e terziari.
5) Scrivere e attribuire il nome IUPAC al composto di formula C9H18 che possiede solo idrogeni primari.
6) Scrivere e attribuire il nome IUPAC al composto di formula C5H12 che possiede solo idrogeni primari.
7) Rappresentare la struttura a segmenti e attribuire il nome IUPAC ai seguenti composti:
A) Tutti i composti di formula molecolare C6H12
B) Un composto formula molecolare C10H20 che contiene solo H primari e terziari
C) Un composto formula molecolare C11H24 che contiene solo H primari
D) Un composto formula molecolare C6H15N che contiene solo H primari
E) Un composto formula molecolare C6H14O che contiene solo H primari e secondari
8) Disegnare il 4-etil-2-isopropil-1-metilcicloesano e dire se il nome IUPAC è corretto. Se non lo è, apportare le opportune correzioni.
9) Scrivere la formula condensata di un isomero strutturale del 2,3-dimetilpentano
10) Scrivere la struttura a segmenti dei seguenti composti e dire se il nome IUPAC è corretto; se non lo è, apportare le dovute correzioni:
a) 1-butil-1-metil-3-cicloesanolo
b) 2,2-dibromo-4-metilesano
Per i più coraggiosi…Denominare il seguente composto secondo le regole del sistema di nomenclatura IUPAC

Professoressa mi perdoni per l’eventuale disturbo, potrei avere una correzione per gli esercizi:
1)o) 1-(2-bromo-5,7dimetil-1-propilottanil)ciclopropano
2)m) 3-(2,4-dimetil-1-propilesil)-1-ciclobutanolo
2)e) 9-(1-cloroetil)-3-fluoro-6-butossidodecano
2)h) N,5-etil-N-metil-2-(1-metossibutil)-1-ottanammina
LikeLike
Nel primo esercizio (1o), l’1 fuori dalla parentesi non va indicato, essendo questo un cicloalcano monosostituito; inoltre è “ottil” e non ottanil
2m è ok.
Gli altri due esercizi credo facciano riferimento al numero 3.
per la lettera e controlla perchè non hai elencato i sostituenti in ordine alfabetico; per la lettera h non capisco perchè metti N-metil (se ho individuato correttamente il composto cui fai riferimento, si tratta di un ammina secondaria, per cui, sono presenti dolo 2R: la catena principale e l’etile
LikeLike
Professoressa, scusi per il disturbo..
Nell’esercizio numero 2 il nome corretto delle lettere I e O sono queste?
1-ciclopentil propan-2-olo (I)
1-(3-etil cicloeptil) propan -2- ammina (o)
LikeLike
Ci sono degli spazi che non servono, ma la numerazione delle catene è corretta
LikeLike
Soluzioni esercizi 1-10 https://www.dropbox.com/scl/fi/d1873p2v0kzfrzga3hd8t/Esercitazione-su-nomenclatura-IUPAC.pdf?rlkey=ch2rk6ac461fc41wneuo8rwht&st=pq4ueljs&dl=0 In caso di dubbi, è possibile commentare il post o chiedere spiegazioni domani a lezione
LikeLike
Soluzione dell’esercizio “per i più coraggiosi” https://www.dropbox.com/scl/fi/z2jnrt104jcaxzlaz68x9/Per-i-pi-coraggiosi.pdf?rlkey=kubl63hebswasfgw0je7exiim&st=uisp8dkb&dl=0
LikeLike
prof da password sbagliata
LikeLike
sistemata
LikeLike
Professoressa scusate, ma l’esercizio numero 2, lettera e non è:
8-etil-2,3,3-trimetil-4-propildecan-5-olo
LikeLike