II prova di recupero: esercitiamoci ancora un po’
Esercitazione destinata agli studenti che dovranno sostenere lo scritto “facilitato”.
Suggerimento: per poter usare questi esercizi come test di autovalutazione, svolgerli senza l’ausilio di libro/appunti ed impiegando un tempo massimo di 2 ore.
Altri set di esercizi saranno pubblicati successivamente.
PRIMO SET
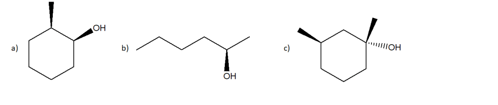
1. Partendo dall’opportuno alchene, illustrare il meccanismo di reazione della sintesi del seguente composto. Indicare eventuali altri prodotti fornendo per tutti il nome IUPAC completo di stereochimica.

2. Scrivere i prodotti principali delle seguenti reazioni. Indicare la stereochimica, quando opportuno.

3. Indicare le condizioni di reazione per ottenere le seguenti trasformazioni

4. Mostrare le condizioni di reazione, il meccanismo e i prodotti della reazione del propanone con etanammina
5. Completare il seguente schema inserendo le condizioni di reazione o i prodotti mancanti nei riquadri. Evidenziare la stereochimica quando opportuno.

6. Scrivere i prodotti delle seguenti reazioni:

7. Ordina i seguenti composti per reattività crescente in una reazione E2, motivando la scelta

SECONDO SET
1. Disegnare il diagramma energetico di una reazione monostadio con Keq<1. Indicare nel diagramma le parti corrispondenti a reagenti, prodotti, stato di transizione, variazione dell’energia libera di Gibbs, energia di attivazione. Il ΔG° è positivo o negativo?
2. Per le seguenti reazioni, indicare il prodotto principale e il meccanismo con il quale procedono

3. Mostrare le condizioni di reazione e il meccanismo per ottenere l’acido pentanoico a partire da 1-bromobutano
4. Scrivere il prodotto o i prodotti principale della disidratazione con acido solforico ad alta temperatura per ciascuno dei seguenti alcoli

5. Scrivere i prodotti principali delle seguenti reazioni.

6. Partendo dall’opportuno alchene, illustrare il meccanismo di reazione della sintesi del seguente composto. Indicare eventuali altri prodotti fornendo per tutti il nome IUPAC completo di stereochimica

7. Scrivere i prodotti delle seguenti reazioni

Cosa fare se si riscontrano difficoltà o se si hanno dubbi:
-rivedere gli argomenti problematici (NB: non si possono risolvere gli esercizi senza aver studiato la teoria, per cui sarà necessario studiare e approfondire l’argomento ed eventualmente-successivamente-esercitarsi ulterioremente utilizzando sia gli esercizi del libro sia quelli presenti su questo blog).
-contattare il docente: è possibile sia chiedere spiegazioni, sia fare ricevimento (anche in gruppo) o organizzare esercitazioni dedicate
You must be logged in to post a comment.