I prova di recupero: esercitiamoci ancora un po’ (II)
Suggerimento: per poter usare questi set di esercizi come test di autovalutazione, svolgerli senza l’ausilio di libro/appunti ed impiegando un tempo massimo di 2 ore per ciascun set.
PRIMO SET
1) Attribuire il nome IUPAC, comprensivo di stereochimica, ai seguenti composti

2) Dire se il seguente è un nome IUPAC corretto. Se non lo è, apportare le opportune correzioni: 3-formil-2,5-eptandione
3) Dire quale dei seguenti composti ruota il piano della luce polarizzata

4) Scrivere la proiezione di Fischer del (2R,3R)-2-bromo-3-metilpentano. Poi scrivere la proiezione di Newman del conformero più e meno stabile lungo il legame C2-C3.
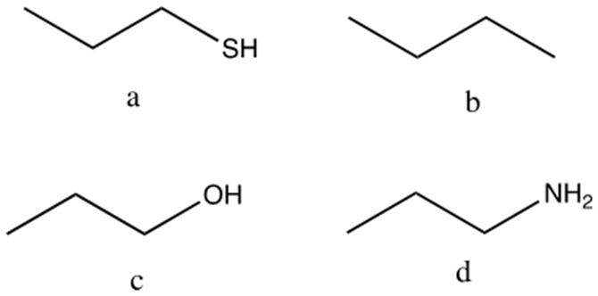
5) Dire qual è la relazione stereochimica esistente tra i seguenti composti (confrontare a/b; a/c; a/d; b/c; b/d; c/d).

6) Disegnare il conformero gauche del butano.
7) Tra i conformeri del butano, quale si trova al minimo di energia su un diagramma di energia potenziale:
a) gauche
b) eclissato
c) gauche e anti
d)anti
8) Metti i seguenti composti in ordine di acidità crescente e motiva la scelta

8) Quale dei seguenti composti è la base più forte? Perché?

9) Quella qui riportata è la struttura della vitamina C

a) Individuare il legame C-C più corto
b) dire quali orbitali molecolari danno luogo al doppio legame C=O e quali orbitali atomici/ibridi sono usati per formare tali orbitali molecolari
c) dire quanti atomi di idrogeno in tutto sono presenti nella molecola
e) individuare gli atomi di carbonio ibridati sp2
SECONDO SET
1) Quali orbitali si formano per sovrapposizione assiale di 2 orbitali sp3 ? Quali orbitali sono invece coinvolti nella formazione di un legame pi-greco?
2) Per gli atomi indicati da una freccia nei seguenti composti, indicare:


5) Riportare la seguente struttura su una proiezione di Newman e su una rappresentazione a cavalletto

6) Individuare il composto meso:

7) Confrontare i seguenti composti e definirne le relazioni stereochimiche. In particolare, dire se sono enantiomeri, diastereoisomeri o isomeri conformazionali.

a e b sono___________________
a e c sono___________________
b e c sono___________________
8) Attribuire il nome IUPAC, comprensivo di stereochimica, ai seguenti composti

9) Disegnare il conformero a minore energia del trans-1-terz-butil-4-metilcicloesano e del cis-1-terz-butil-4-metilcicloesano. Poi, confrontare tra loro i due isomeri geometrici
Quale dei due sarà quello più stabile? Perché?
10) Disegnare la proiezione di Newman secondo il legame C2-C3 del conformero meno stabile del 2,3-dimetilbutano
11) Mettere gli acidi alogenidrici in ordine di acidità decrescente, motivando la scelta.
12) Disporre i seguenti composti in ordine di acidità decrescente e spiegare sinteticamente il perché:

Cosa fare se si riscontrano difficoltà o se si hanno dubbi:
-rivedere gli argomenti problematici (NB: non si possono risolvere gli esercizi senza aver studiato la teoria, per cui sarà necessario studiare e approfondire l’argomento ed eventualmente-successivamente-esercitarsi ulterioremente utilizzando sia gli esercizi del libro sia quelli presenti su questo blog).
-contattare il docente: è possibile sia chiedere spiegazioni, sia fare ricevimento (anche in gruppo) o organizzare esercitazioni dedicate
You must be logged in to post a comment.