Stereochimica: esercizi

Prima di procedere, oltre ad aver studiato la stereochimica con l’ausilio di libro e appunti, potrebbe essere utile prendere visione delle indicazioni e degli esercizi pubblicati precedentemente, oltre che esercitarsi utilizzando i giochi condivisi nel materiale didattico. Se si ha necessità di passare da una rappresentazione all’altra, un aiuto potrebbe venire dalla guida pubblicata ancora una volta nel materiale didattico.

1) Assegnare il nome IUPAC, comprensivo di stereochimica, alle seguenti molecole.

Lettera h: il sostituente in equatoriale con il 3 in basso è, ovviamente, un gruppo -CH3


2) Scrivere i seguenti composti in proiezione di Fischer e rispondere alle domande I e II: 

a) (2S,3S)-2,3-dibromobutano

b) (2R,3S)-2,3-dibromobutano

c) (2S,3R)-2,3-dibromobutano

d) d) (2R,3R)-2,3-dibromobutano

I) Quali composti sono otticamente attivi?

II) Dire qual è la relazione esistente tra le seguenti coppie di composti (enantiomeri/diastereoisomeri/ isomeri geometrici/isomeri conformazionali/ stesso composto/isomeri costituzionali/altro):           

a e b sono_____________________

a e c sono_____________________

a e d sono_____________________

b e c sono_____________________

3) Quali dei seguenti composti è otticamente attivo? NB: è possibile scegliere più opzioni
NB: per i composti a catena lineare, è consigliabile utilizzare le proiezioni di Fischer

a) (2R,3S)-2,3-dibromobutano

b) (2R,3S)-2,3-dibromoesano

c) (2R,3R)-2,3-dibromobutano

d) (1S,2S)-1,2-dibromocicloesano

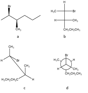
4) Dire quale tra le strutture a-d rappresenta l’enantiomero del seguente composto
Per stabilirlo è necessario stabile la configurazione assoluta di ciascuna struttura!

5) Dire qual è la relazione esistente tra i seguenti composti (enantiomeri/diastereoisomeri/ isomeri geometrici/isomeri conformazionali/ stesso composto/isomeri costituzionali/altro)

a e b sono________________________________
a e c sono________________________________
b e c sono________________________________

6) Quale delle seguenti strutture corrisponde al (2R,3S)-2-bromo-3-metilesano?

7) Scrivere, utilizzando le strutture a segmenti, i seguenti composti:
1) (2S,6R)-6-isopropil-2-nonanolo
2) (1R,2S,3R)-2-etil-N,N,3-trimetilcicloesanammina
3) (2R,3S,4S,5R)-3-bromo-5-etil-2-metil-4-(2-metilpropil)ottano
4) (2R,6S)-6-bromo-2-isopropil-3,3-dimetil-1-ottanolo
5) (1R,3R)-3-bromo-1-terz-butil-1-metossiciclopentano

8) Qual è il numero massimo di stereoisomeri possibili per la seguente struttura?

PER I PIU’ CORAGGIOSI…


9) Uno studente ha ottenuto da una sintesi in laboratorio un composto X. A seguito di una serie di analisi che si basano su diverse proprietà fisiche della molecola in questione (tra cui diverse analisi cromatografiche) lo studente ha dedotto che si trattasse di un composto puro. Quando, però ha determinato la rotazione ottica specifica del composto X, ha ottenuto un valore pari a -5,0°, mentre il valore atteso per il composto X era di -10,0°.
a) come è possibile spiegare che il valore di [a]D per il composto sintetizzato in laboratorio non è esattamente lo stesso di quello di riferimento?
b) da cosa è realmente costituito il campione?
c) in che proporzioni?
d) come si spiega che lo studente, a seguito delle analisi iniziali, era sicuro di trovarsi di fronte ad un composto puro?

10) Di seguito è mostrata la struttura della solanina, un alcaloide glicosidico presente nelle patate e prodotto da diverse piante della famiglia delle Solanaceae. Stabilire la configurazione assoluta di tutti i carboni chirali presenti nella seguente molecola:

7 comments

  • DANIELA CARTINI
    DANIELA CARTINI's avatar

    A) (2S,5R)-5-ETIL-2-OTTANOLO
    B) (4R,5S)-2,5,8-TRIMETIL-4-NONANOLO
    C)(2R,5S,6S)-5-(-2-BROMOETIL)-N,2,6-TRIMETIL-1-OTTANAMMINA
    D) (2S,5S,6S,7R)-5-BROMO-6,7,7,8-TETRAMETIL-2-NONANOLO
    E) (1R,2S)-2-ISOPROPIL-CICLOESANOLO
    F) (1S,2R,4R)-1-BROMO-4-CLORO-2-CICLOESANOLO
    G) (1S,2R,3S)-1-TERZ-BUTIL-N,2,3-TRIMETIL-CICLOPENTAN-2-AMMINA

    Like

    • monicascognamiglio
      monicascognamiglio's avatar

      B) Manca un sostituente
      C) ci sono due metili su azoto…
      F) attenta alla numerazione quando c’è un gruppo funzionale
      G) anche qui come F! Il C col gruppo funzionale sarà 1. Rivedi

      Like

  • DANIELA CARTINI
    DANIELA CARTINI's avatar

    ESERCIZIO 2
    A =ATTIVO
    B = MESO QUINDI NON ATTIVO
    C= MESO QUINDI NON ATTIVO
    D= ATTIVO
    A E B SONO DIASTEROISOMERI
    A E C SONO DIASTEROISOMERI
    A E D SONO ENANTIOMERI
    B E C SONO ENANTIOMERI
    Esercizio 3
    1) meso quindi no
    2) meso quindi no
    3) attivo
    4) attivo

    Like

    • monicascognamiglio
      monicascognamiglio's avatar

      2) se b e c sono meso, sono lo stesso composto (NON sono enantiomeri)
      3) 2–>scrivi la struttura per capire se può o essere meno meso

      Like

  • ELENA LANDOLFO
    ELENA LANDOLFO's avatar

    1) a. (2S,5R)-5-etil-2-ottanolo
    b. (4R,5S)-5-etil-2,5,8-trimetil-4-nonanolo
    c. (2R,5S,6S)-5-(2-bromoetil)-N,N,6-trimetil-2-ottanammina
    d. (3R,4S,5S,8S)-5-bromo-2,2,3,4-tetrametil-8-nonanolo
    e. (1R,2S)-2-isopropilcicloesanolo
    f. (1S,2R,5R)-2bromo-5-clorocicloesanolo
    g. (1S,2R,3S)-1-terzbutil-N,N,3-trimetil-2-ciclopentanammina
    h. (1R,2R,5S)-2-metil-5-(1,1-dimetiletil)cicloesanolo
    i. (1R,2S,5R)-2-terzbutil-cicloesan-1,5-diolo
    l. (2S,3S)-2-bromo-3-metil-2-pentanolo
    m. (2R,3R)-2-bromo-6-metil-3-eptanolo
    n. (2R,3R)-2-bromo-3-metil-3-pentanolo
    o. (4S,5S)-5-bromo-4-etossi-1-esanolo
    p. (2R,3S)-2-cloro-N,N-dimetil-3-ottanammina
    q. (2R,3S)-3-bromo-6-iodio-3-metil-2-esanolo

    Like

    • monicascognamiglio
      monicascognamiglio's avatar

      D) attenta!
      G) attenzione alla presenza del gruppo funzionale! Chi sarà il C1?
      H) ricontrolla configurazione assoluta
      I) Attenta! Ci sono due OH…ricontrolla numerazione, ma anche configurazione assoluta
      L-N) credo tu abbia difficoltà a passare da Newman a Fischer. IN due casi hai scritto l’enantiomero del composto e nel terzo un diastereoisomero. Eclissa e definisci bene il punto di osservazione. Se hai difficoltà a traformare una proiezione di Newman in quella di FIscher, puoi anche passare per una struttura a cavalletto
      Q “iodo”

      Like

  • DANIELA CARTINI
    DANIELA CARTINI's avatar

    4) Solo b rappresenta l’enantiomero. A,C,D sono lo stesso composto di a .
    5)a e b diasteroisomeri
    a e c diasteroisomeri
    b e c sono lo stesso composto
    6) B
    9) A= Lo studente ha ottenuto un valore diverso da quello che si aspettava perchè credeva di essere di fronte ad un composto puro.
    b= il campione in realtà non era puro ma bensì costituito da due diasteroisomeri
    c) i due diasteroisomeri sono in proporzione 1 a 1 .
    d) mentre per gli enantiomeri conosciamo il potere rotatorio che sarà opposto per due enantiomeri di uno stesso composto , per i diasteroisomeri non sappiamo i poteri ottici specifici.

    Like