Mix di esercizi sugli argomenti della prima parte del corso
1. Scrivere la struttura di Lewis e calcolare le cariche formali (indicarle solo quando diverse da 0) per i seguenti composti:
a) CH3CH2NH2
b) CH3COO-
c) (CH3)2NH
d) CH3NO2
2. Aggiungere le cariche dove necessario:

3. Quali altre strutture di risonanza, oltre quelle mostrate sotto, è possibile scrivere per lo ione solfato?

4. Per gli atomi mostrati in rosso nelle seguenti strutture, dire l’ibridazione, la geometria e l’angolo di legame. Dire, inoltre, quali orbitali molecolari formano (con ciascuno degli atomi con cui sono legati) e quali orbitali atomici e orbitali ibridi sono coinvolti nella formazione di ciascun orbitale molecolare.

5. Scrivere la formula condensata e la formula molecolare per ciascuna delle seguenti strutture di Kekulè:

6. Scrivere e attribuire il nome IUPAC a tutti gli isomeri costituzionali con formula:
a) C3H8
b) C6H14
c) C4H10
7. Scrivere e attribuire il nome IUPAC al composto di formula C5H12 che contiene solo idrogeni primari
8. Disponi i seguenti composti in ordine di pKa decrescente:
a) CH3CF2COOH
b) CH3CHFCOOH
c) CH3CH2COOH
d) CH2FCH2COOH
9. Disponi i seguenti composti in ordine di basicità crescente:

10. Disponi i seguenti composti in ordine di acidità crescente:
a) CH3CHClCOOH
b) CH3CHFCOOH
c) CH3CHICOOH
d) CH3CHBrCOOH
e) CH3CF2COOH
11. Scegliere tra le seguenti opzioni quella che riporta i composti nel corretto ordine di punto di ebollizione crescente

12. Disegnare la proiezione di Newman del conformero più stabile del 2,3-dimetilbutano osservandolo lungo il legame C2-C3.
13. Disegnare il conformero più stabile del cis-1-etil-4-isopropilcicloesano.
14. Nel conformero a più bassa energia del seguente composto, quanti gruppi alchilici sono assiali?

15. Quale sarà più stabile tra l’isomero cis e l’isomero trans del 1-isobutil-4-metilcicloesano. Perchè? Utilizzare le proiezioni di Newman per mostrarlo.
16. Il seguente grafico si riferisce alle variazioni di energia in funzione della rotazione intorno al legame C2-C3 del 2-metilbutano. Posizionare i conformeri disegnati sotto (1-4) sul diagramma (A-D).

17. Disegnare un grafico che mostri le variazioni di energia in funzione della rotazione intorno al legame C2-C3 di a) 2-bromobutano (NB: il bromo dà meno ingombro sterico rispetto al metile); b) 2,2,3-trimetilesano; c) 3-etil-2-metilesano. Disegnare i conformeri sfalsati ed eclissati utilizzando le proiezioni di Newman e le strutture a cavalletto.
18. La struttura mostrata di seguito è quella del Paclitaxel. Dire come sono ibridati gli atomi indicati da una lettera e da un numero e stabilire la configurazione assoluta degli atomi indicati da un numero.

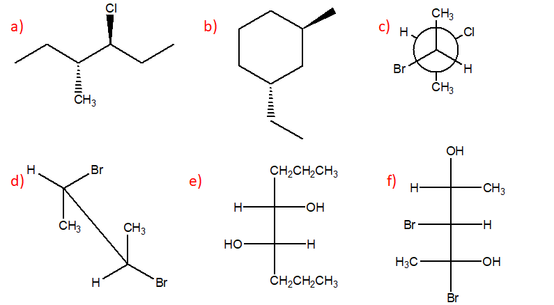
19. Dire se le seguenti molecole sono chirali:

20. Individuare la relazione stereochimica esistente tra le seguenti strutture:
a)

b)

c)

d)

e)

f)

g)

21. Individuare tra le strutture riportate sotto (a-c) quella che corrisponde alla seguente:

22. Individuare tra le strutture riportate sotto (a-c) quella che corrisponde alla seguente:

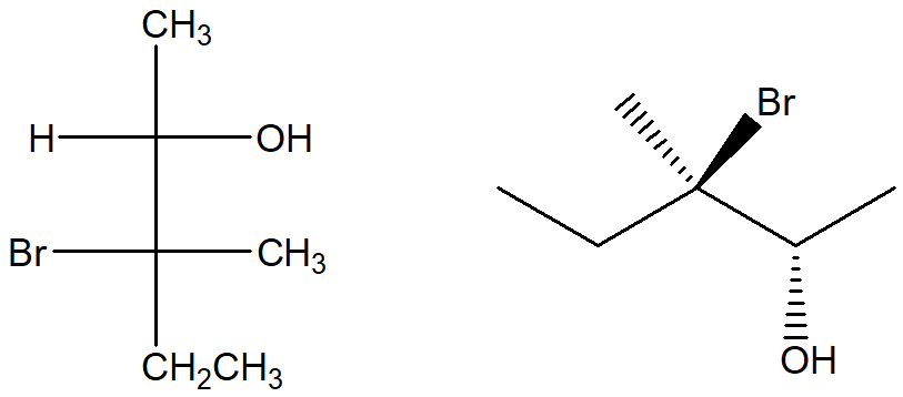
23. Individuare tra le strutture riportate sotto quella che rappresenta l’enantiomero del seguente composto:

24. Individuare tra le strutture riportate sotto quella che rappresenta l’enantiomero del seguente composto:

25. Qual è il numero massimo di stereoisomeri per i seguenti composti:

26. Per i composti dell’esercizio 24 che contengono doppi legami, dire se si tratta dell’isomero E o Z.
27. Disegna l’enantiomero di ciascuno dei seguenti composti:

28. Disegna tutti i possibili diastereoisomeri dei seguenti composti:

29. Disegnare il composto di formula molecolare C5H9Br che contenga 2 carboni chirali. Disegnare e attribuire il nome IUPAC a tutti i possibili stereoisomeri.
30. Assegnare il nome IUPAC, comprensivo di stereochimica quando necessario, ai seguenti composti:

You must be logged in to post a comment.