Weekend Organic Chemistry Challenge
LA CHALLENGE è ANCORA APERTA. VEDERE SUGGERIMENTO ALLA FINE DEL POST
Regolamento:
- Vincerà la sfida chi risponderà per primo CORRETTAMENTE al seguente quesito
- La risposta dovrà essere caricata come file/foto cliccando su “upload”. Dopo aver caricato il file è necessario commentare il post inserendo nome e cognome.
- Ognuno può rispondere solo una volta (anche in presenza di più di un commento pubblicato dalla stessa persona, soltanto il primo sarà preso in considerazione).
- Il tempo massimo a disposizione sarà di 48h dalla pubblicazione del post.
- Il vincitore (6 punti) sarà annunciato mercoledì a lezione.
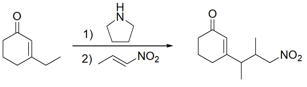
Proporre un meccanismo per la seguente reazione

NB: è possibile aggiungere catalizzatori o condizione di reazione specifiche
Suggerimenti:
1. Non ragionate per “meccanismi”, ma sulla base della reattività dei composti che avete davanti
2. Potrebbe essere utile utilizzare le strutture di Lewis per visualizzare meglio gli elettroni

SUGGERIMENTO: Come suggerito a lezione, nella prima reazione si forma un’enammina…ma non l’enammina a cui probabilmente avete pensato voi.
La challenge è ancora aperta…vediamo se qualcuno riesce a risolverla…







You must be logged in to post a comment.