CdLM Biologia Chimica Bioorganica
1H-NMR: chemical shift e forma del segnale
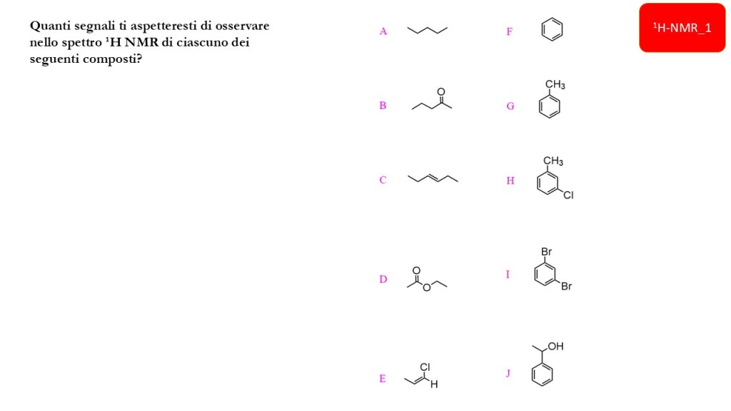
Di seguito il materiale didattico relativo all’argomento in oggetto ed un set di esercizi













Università degli Studi della Campania "Luigi Vanvitelli"
1H-NMR: chemical shift e forma del segnale
Di seguito il materiale didattico relativo all’argomento in oggetto ed un set di esercizi













You must be logged in to post a comment.