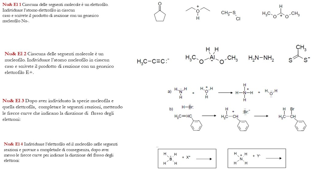
CdLM Biologia-Chimica Bioorganica Posted on Mar 5, 2026 by Brigida D'Abrosca Leave a comment di seguito un set di esercizi inerenti gli argomenti già trattati al corso Share this: Share on X (Opens in new window) X Share on Facebook (Opens in new window) Facebook Like Loading... Biologia Bioorganica
You must be logged in to post a comment.