Esercitiamoci per la prova scritta X
Suggerimento: per poter usare questi set di esercizi come test di autovalutazione, svolgerli senza l’ausilio di libro/appunti ed impiegando un tempo massimo di 2 ore per ciascun set.
PRIMO SET
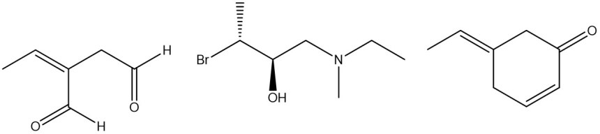
1. Assegnare il nome IUPAC, comprensivo di stereochimica, alle seguenti molecole

2. Rispondi alle domande sulla seguente molecola:

a) Come è ibridato l’atomo di cloro ____________________
b) Prendere in considerazione i doppi legami cumulati: com’è ibridato il carbonio centrale? Descrivere il tipo di legami che fa tale carbonio e gli orbitali molecolari coinvolti
c) Individuare l’idrogeno più acido in questa molecola
3.Disporre i seguenti composti in ordine di acidità crescente (dal meno acido al più acido) e spiegare sinteticamente il perché
a) CH3BrCH2SH
b) CH3CH2SH
c) CH3CH2OH
d) CH3CH2NH2
4. Il mentolo di origine naturale ha il seguente nome IUPAC: (1R,2S,5R)-2-isopropil-5-metilcicloesanolo. Qual è il nome IUPAC del suo enantiomero?
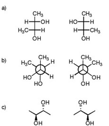
5. Dire se le seguenti coppie di composti sono enantiomeri, diastereoisomeri o lo stesso composto

6. Scrivere a) un isomero di struttura del seguente composto, b) un diastereoisomero del seguente composto, c) l’enantiomero del seguente composto. Attribuire il nome IUPAC a ciascun di essi

7. Proporre un meccanismo per la seguente reazione:

8. Chi reagirà più velocemente in una reazione E1 tra 3-bromo-3-metil-1-cicloesene e 4-bromo-4-metil-1-cicloesene? Spiegare sinteticamente perché.
9. Disporre i seguenti composti in ordine di basicità decrescente, fornire una spiegazione e dimostrare gli effetti che concorrono a determinare l’ordine indicato

10. Quanti prodotti si formano dalla seguente reazione? Quale relazione stereochimica esiste tra questi pdotti?

11. Fornire una definizione di punto isoelettrico. Come può essere calcolato?
SECONDO SET
1. Assegnare il nome IUPAC, comprensivo di stereochimica, ai seguenti composti:

2. Disporre i seguenti composti in ordine di acidità decrescente e spiegare sinteticamente il perché

3. Partendo dall’opportuno alchene, illustrare il meccanismo di reazione della sintesi del seguente composto. Indicare eventuali altri prodotti fornendo per tutti il nome IUPAC completo di stereochimica.

4. Quale dei seguenti è un composto meso?
a) (2R,3S)-diclorobutano
b) (2R,3R)-diclorobutano
c) (2R,3S)-3-cloro-2-butanolo
d) (2R,3R)-3-cloro-2-butanolo
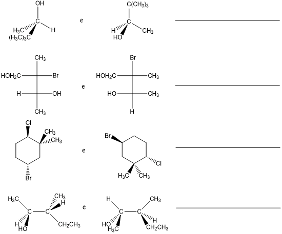
5. Confrontare i seguenti composti e definirne le relazioni stereochimiche. In particolare, dire se sono enantiomeri, diastereoisomeri o isomeri conformazionali.

a e b sono___________________
a e c sono___________________
b e c sono___________________
6. Indicare le condizioni ottimali per ottenere ciascuno dei seguenti composti a partire dal 3-metil-1-butene. Se quello ottenuto non è l’unico prodotto di reazione, indicare gli ulteriori altri prodotti formati, dire in che relazione sono col prodotto riportato e indicare se si formano o meno in quantità equimolari rispetto a quest’ultimo. NB: se non si formano ulteriori prodotti, scrivere “nessuno” nella casella dedicata

7. Mostrare il meccanismo e scrivere il prodotto della seguente reazione

8. Scrivere i due anomeri del D-galattopiranosio, sapendo che il galattosio è l’epimero in 4 del glucosio
9 Scrivere il dipeptide Ala-Ala sapendo che la catena laterale dell’alanina è -CH3
TERZO SET
1. Assegnare il nome IUPAC, comprensivo di stereochimica, ai seguenti composti:

2.

3. Ordinare i seguenti acidi carbossilici dal più acido al meno acido, giustificando la risposta data

4. Quale dei seguenti composti è meno solubile in acqua?

5. Giustificare il carattere aromatico, antiaromatico o non aromatico dei seguenti composti e ioni

6. Indicare se le seguenti coppie di strutture sono enantiomeri, diastereoisomeri, isomeri strutturali o composti identici

7. A partire da uno dei composti riportati nel riquadro e utilizzando qualsiasi altro reagente necessario, suggerire la sintesi di ciascuno dei seguenti prodotti, indicando sulle frecce le condizioni di reazione. Mostrare, inoltre, il meccanismo di reazione.


8. La reazione di (1R,2S)-1-bromo-2-metilcicloesano con etossido di sodio, dà come prodotto principale di eliminazione un prodotto diverso rispetto a quello che si ottiene dalla stessa reazione dello stereoisomero (1R,2R). Dare una spiegazione.
9. Il composto di seguito mostrato è il β-D-glucopiranosio, scrivere: a) l’anomero α; b) il β-D-galattopiranosio (epimero in 4); β -L-glucopiranosio

10. In basso è riportata la curva di titolazione dell’acido aspartico, un amminoacido acido.
Qual è il punto isoelettrico dell’acido aspartico?

You must be logged in to post a comment.