Esercitiamoci per la prova scritta IX
Suggerimento: per poter usare questi set di esercizi come test di autovalutazione, svolgerli senza l’ausilio di libro/appunti ed impiegando un tempo massimo di 2 ore per ciascun set.
PRIMO SET
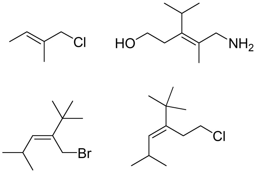
1. Assegnare il nome IUPAC, comprensivo di stereochimica, alle seguenti molecole

2. Rispondi alle domande sulla seguente molecola:

a) Quante coppie solitarie sono presenti sul cloro e quali orbitali occupano? ____________________
b) Quanti carboni ibridati sp sono presenti? ________________________________________
c) Indicare con una freccia sulla figura il legame singolo carbonio-carbonio più corto
3.Disporre i seguenti composti in ordine di acidità crescente (dal meno acido al più acido) e spiegare sinteticamente il perché
a) CH3CH2SH
b) CH3CH2NH2
c) CH3CH2OH
d) CH3CH2CH3
4. Prendendo in considerazione il (2R,3R)-2,3-dibromobutano, scrivere A) l’enantiomero in proiezione di Fischer, B) un diastereoisomero con una struttura a segmenti. Poi, per ciascuno dei due composti, dire se sono otticamente attivi
5. Scrivere i prodotti principali di eliminazione delle seguenti reazioni, indicando, per ciascuna reazione, se procede con meccanismo E1 o E2

6. Attribuire la configurazione assoluta ai seguenti carboni chirali

7. Dire quale dei seguenti composti è otticamente attivo (è possibile scegliere più opzioni):

8. Mostrare le condizioni di reazione e il meccanismo della seguente trasformazione (ignorare la stereochimica)

9. Chi reagirà più velocemente in una reazione E2 tra (1R,3R)-1-bromo-3-isopropilcicloesano e (1R,3S)-1-bromo-3-isopropilcicloesano? Spiegare sinteticamente perché.
10. Disporre i seguenti composti in ordine di basicità decrescente, fornire una spiegazione e dimostrare gli effetti che concorrono a determinare l’ordine indicato

11. Mostrare il meccanismo di apertura del seguente epossido a) con metanolo in ambiente acido; b) con ione metossido. Mostrare la stereochimica dei prodotti.Attribuire il nome IUPAC all’epossido e ai prodotti formati.

12. Scrivere l’α-L-galattopiranosio (il galattosio è l’epimero in 4 del glucosio)
SECONDO SET
1. Assegnare il nome IUPAC, comprensivo di stereochimica, ai seguenti composti:

2. Disporre i seguenti composti in ordine di acidità crescente (dal meno acido al più acido) e spiegare sinteticamente il perché

3. Mostrare il meccanismo di addizione aldolica per il secondo composto dell’esercizio 2
4. Scrivere una proiezione di Newman del (1R,3R)-3-metil-1-cicloesanolo secondo i legami C1-C6 e C3-C4. Poi, effettuare l’inversione d’anello e dire qual è il conformero più stabile
5. Scrivere la struttura a sedia del conformero più stabile di un diastereoisomero del composto dell’esercizio 4. Poi, confrontare il composto dell’esercizio 4 col diastereoisomero disegnato. Quale dei due stereoisomeri sarà quello più stabile?
6. Prendendo in considerazione il legame C3-C4 del 2-metilpentano, scrivere la proiezione di Newman del conformero meno stabile in assoluto e la struttura a cavalletto del conformero più stabile in assoluto.
7. Il 2-metil-2-butene reagirà con Br2 in acqua per dare un’aloidrina (ignorare la stereochimica). La reazione ha Keq>1. Mostrare il meccanismo di reazione, inclusi gli stati di transizione. Poi, disegnare il diagramma energetico della reazione. Indicare nel diagramma le parti corrispondenti a reagenti, prodotti, stato di transizione, intermedio, variazione dell’energia libera di Gibbs, energia di attivazione di ciascuno stadio della reazione.
8. Disporre i seguenti composti in ordine di basicità decrescente e motivare la risposta data

9. Mostra il meccanismo e i prodotti della seguente reazione:

10. Mostrare la sintesi di Kiliani Fischer che porta alla sintesi del D-glucosio e del D-mannosio (il D-mannosio è l’epimero in 2 del glucosio).
TERZO SET
1. Assegnare il nome IUPAC, comprensivo di stereochimica, ai seguenti composti:

2. Dire quali dei seguenti composti ha punto di ebollizione più basso, motivando la risposta: a) pentano, b) 2-metilbutano, c) 2,2-dimetilpropano
3. Quello riportato di seguito è il diagramma delle variazioni di energia potenziale rispetto all’angolo diedro per l’1,2-dicloroetano. Sotto, sono riportate le proiezioni di Newman dei possibili conformeri. Completare il diagramma indicando il conformero associato a ciascuna lettera, inserendo le lettere corrispondenti nel riquadro sotto i conformeri.

4. Indicare con una freccia i doppi legami che presentano geometria Z:

5. Stabilire le configurazioni assolute dei carboni chirali presenti nelle seguenti molecole (NB: la notazione va riportata vicino ai carboni cui fa riferimento) e dire qual è la relazione stereochimica esistente tra i composti di ciascuna coppia (isomeri conformazionali/enantiomeri/diastereoisomeri/stesso composto/altro):

6. Esistono due isomeri geometrici del 3-esene. Per reazione con Br2 in CH2Cl2, uno dei due darà due prodotti, l’altro solo uno.
A) Spiegare perché.
____________________________________________________________________________________________________________________________________________________________________________________________________________________________________________________________________B) Mostrare il meccanismo della reazione che porta alla sintesi di un unico prodotto, seguendo anche la stereochimica della reazione.
7. L’aggiunta di HBr al 2-metil-1-propene procede attraverso la formazione di un intermedio carbocationico.
a) Completare il meccanismo riportato in basso, disegnando le frecce ricurve e gli stati di transizione.
b) Per ogni stadio, identificare la specie nucleofila con N ed elettrofila con E.
c) Scrivere ogni lettera riportata sul diagramma della coordinata di reazione nel quadrato tratteggiato corrispondente nel meccanismo di reazione.
d) Individuare ΔG0 della reazione e l’energia di attivazione dello stadio cineticamente determinante, scrivendone i simboli accanto alla freccia corrispondente sul diagramma.
e) Il secondo stadio della reazione è esoergonico o endoergonico?_______________________________ f) Cosa possiamo dire circa la Keq della reazione?____________________________________________

8. Spiegare e dimostrare perché il para-nitrofenolo (b) è più acido del fenolo (a).
9. La disidratazione acido-catalizzata del (1R,2R)-2-metil-1-ciclopentanolo porta alla sintesi di tre alcheni diversi. Mostrare il meccanismo di formazione dei tre prodotti.
10. Mostrare il meccanismo per la seguente trasformazione

11. Scrivere la struttura della L-alanina in proiezione di Fischer, sapendo che la catena laterale è -CH3
You must be logged in to post a comment.