Verso la seconda prova intercorso: esercitazione
Di seguito troverete 3 set di esercizi che possono essere usati come simulazioni per la prova stessa per capire se ci sono argomenti ancora poco chiari o su cui dovete ancora esercitarvi.
Suggerimento: per poter usare questi esercizi come test di autovalutazione, svolgerli senza l’ausilio di libro/appunti ed impiegando un tempo massimo di 90 minuti per ciascun set.
PRIMO SET
1. Disporre i seguenti composti in ordine di solubilità crescente in acqua. Indicare l’ordine inserendo i numeri nei riquadri sotto le strutture: 1= il meno solubile, 4= il più solubile

2. Cerchiare quella che, tra le seguenti, è la conformazione meno stabile del 2-metilpentano e spiegare quali sono i fattori che la rendono tale:

3. Scrivere, in proiezione di Newman secondo i legami C1-C2 e C5-C4, uno dei conformeri a sedia del trans-1,4-dimetilcicloesano. Poi, effettuare l’inversione d’anello e dire qual è il conformero più stabile
4. Dire se le strutture riportate a destra sono isomeri conformazionali, isomeri geometrici, isomeri ottici, isomeri costituzionali, o lo strutture identiche rispetto alla seguente struttura a segmenti:

5. Calcolare il numero massimo di stereoisomeri possibili per la seguente struttura. Scriverne uno a scelta e determinare la configurazione assoluta dei carboni chirali

6. Indicare con una freccia i doppi legami che presentano geometria Z

7. Attribuire la configurazione assoluta al seguente carbonio chirale:

8. Dire quale dei seguenti composti non è otticamente attivo:

9. Assegnare il nome IUPAC comprensivo di stereochimica ai seguenti composti:


10. Stabilire le configurazioni assolute dei carboni chirali presenti nelle seguenti molecole (NB: la notazione va riportata vicino ai carboni cui fa riferimento) e dire qual è la relazione stereochimica esistente tra i composti di ciascuna coppia (enantiomeri/diastereoisomeri/stesso composto/altro):

11.Prendere in considerazione il (2R,3S)-2-bromo-3-esanolo e completare la seguente tabella, disegnando o scrivendo quanto richiesto in ogni cella

12. Disegnare un diagramma di energia potenziale per la rotazione di 360° del legame C2-C3 del 2-metilbutano, partendo da uno dei conformeri meno stabili e disegnando tutte le conformazioni corrispondenti ai massimi e ai minimi di energia.
SECONDO SET
1. Disegnare la proiezione di Newman secondo il legame C2-C3 del conformero meno stabile del 2,3-dimetilbutano.
2. Disegnare la proiezione di Newman secondo il legame C2-C3 del conformero più stabile del seguente composto

3. Disegnare il conformero a minore energia del trans-1-terz-butil-4-metilcicloesano e del cis-1-terz-butil-4-metilcicloesano.
Poi, confrontare tra loro i due isomeri geometrici
Quale dei due sarà quello più stabile? Perché?
4. Quello riportato di seguito è il diagramma delle variazioni di energia potenziale rispetto all’angolo diedro per l’1,2-dicloroetano.

a) A cosa corrispondono A, C, E, G?
b) Disegnare le proiezioni di Newman di tutti i conformeri eclissati, indicandoli con la lettera corrispondente sul grafico.
c) Discutere dei fattori che giustificano la minore energia potenziale dei conformeri più stabili.
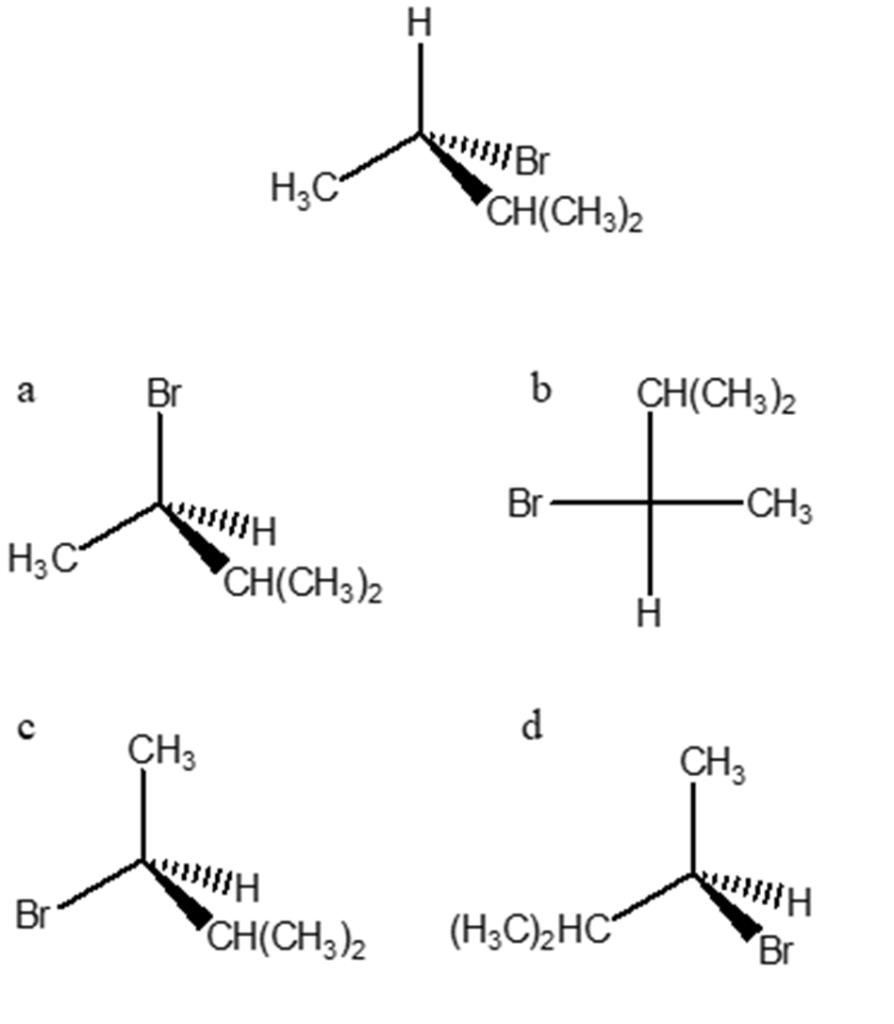
5. Dire quale tra le strutture a-d è un’atra rappresentazione del seguente composto.

6. Stabilire le configurazioni assolute dei carboni chirali e dire qual è la relazione esistente tra i seguenti composti (enantiomeri/diastereoisomeri/stesso composto/isomeri costituzionali/altro)

a e b sono
b e c sono
a e c sono
7. Qual è il numero massimo di stereoisomeri per il seguente composto?

8. Quali dei seguenti composti è otticamente attivo? NB: è possibile scegliere più opzioni
a) (2R,3S)-2,3-dibromoesano
b) (2R,3S)-2,3-dibromobutano
c) (2R,3R)-2,3-dibromobutano
d) (1S,2S)-1,2-dibromocicloesano
9. Scrivere, in proiezione di Fischer, il (2R,3S)-2-bromo-3-metil-3-esanolo.
10. Un composto che presenta 3 carboni chirali con configurazione (2R,3S,4R) ha rotazione specifica pari a +108°. Rispondere alle seguenti domande:
a) Possiamo dire quale sarà la rotazione specifica per lo stereoisomero che ha configurazioni (2S,3R,4S)?
b) Possiamo dire quale sarà la rotazione specifica per lo stereoisomero che ha configurazioni (2S,3S,4S)?
11. Assegnare il nome IUPAC comprensivo di stereochimica al seguente composto:

TERZO SET
1. Disporre i seguenti composti in ordine di punto di ebollizione crescente. Indicare l’ordine inserendo i numeri nei riquadri sotto le strutture: 1= quello col punto di ebollizione più basso, 5= quello col punto di ebollizione più alto

2. Disegnare il conformero a sedia meno stabile del trans-1-t-butil-3-metilcicloesano. Spiegare brevemente i fattori che rendono questo conformero meno stabile rispetto a quello che si ottiene effettuando l’inversione della sedia
3. Prendendo in considerazione il legame C3-C4 del 2-metilpentano, scrivere la proiezione di Newman del conformero più stabile in assoluto e la struttura a cavalletto del conformero meno stabile in assoluto.
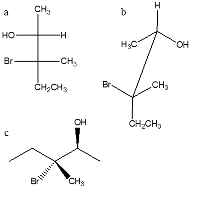
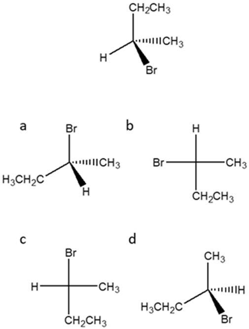
4. Dire quale tra le strutture a-d rappresenta l’enantiomero del seguente composto

5. Dire qual è la relazione esistente tra i seguenti composti (enantiomeri/diastereoisomeri/ isomeri geometrici/isomeri conformazionali/ stesso composto/isomeri costituzionali/altro)

a e b sono
b e c sono
a e c sono
6. a) Qual è il numero massimo di stereoisomeri per il seguente composto?

b) Disegnare e attribuire il nome IUPAC comprensivo di stereochimica ad uno dei possibili stereoisomeri
7. Dire quale dei seguenti composti non è otticamente attivo (è possibile scegliere più opzioni):

8. Quale delle seguenti strutture corrisponde al (2R,3S)-2-bromo-3-metilesano?

9. Denominare le seguenti molecole secondo le regole del sistema di nomenclatura IUPAC (NB: il nome IUPAC deve includere anche le informazioni relative alla stereochimica):

Cosa fare se si riscontrano difficoltà o se si hanno dubbi:
-rivedere gli argomenti problematici (NB: non si possono risolvere gli esercizi senza aver studiato la teoria, per cui sarà necessario studiare e approfondire l’argomento ed eventualmente-successivamente-esercitarsi ulterioremente utilizzando sia gli esercizi del libro sia quelli presenti su questo blog).
-contattare il docente: è possibile sia chiedere spiegazioni a lezione, sia fare ricevimento (anche in gruppo)
You must be logged in to post a comment.