Esercitiamoci per la prova scritta (VI)
Suggerimento: per poter usare questi set di esercizi come test di autovalutazione, svolgerli senza l’ausilio di libro/appunti ed impiegando un tempo massimo di 2 ore per ciascun set.
PRIMO SET
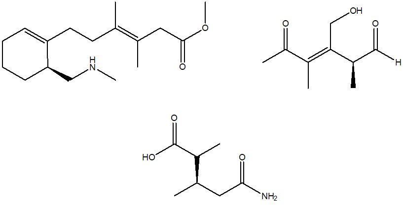
1. Attribuire il nome IUPAC, comprensivo di stereochimica, ai seguenti composti:

2) Per lo ione fosfato (PO43-) è possibile scrivere diverse strutture di risonanza. Scrivere la struttura di Lewis che rappresenta una delle strutture che contribuisce maggiormente all’ibrido di risonanza. Calcolare le cariche formali per tutti gli atomi.
3) Per ciascuno dei seguenti composti, scrivi la forma predominante a pH 3; 6; 10; 14
CH3CH2OH (pKa= 15,9)
CH3COOH (pKa= 4,8)
CH3CH2NH3+ (pKa= 11,0)
4) Quella qui riportata è la struttura della vitamina C

a) Individuare il legame singolo C-C più corto.
b) dire quali orbitali molecolari danno luogo al doppio legame C=O e quali orbitali atomici/ibridi sono usati per formare tali orbitali molecolari.
c) individuare gli atomi di carbonio ibridati sp2
6) Stabilire le configurazioni assolute dei carboni chirali presenti nelle seguenti molecole (NB: la notazione va riportata vicino ai carboni cui fa riferimento) e dire qual è la relazione stereochimica esistente tra i composti di ciascuna coppia (enantiomeri/diastereoisomeri/stesso composto/altro):

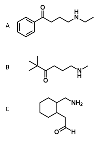
7) Rispondere alle domande A-D relative ai seguenti composti:

8) Quale alchene sarà il seguente composto come prodotto di una reazione di ozonolisi seguita da trattamento con dimetilsolfuro?

9) Proponi un meccanismo per ciascuna delle seguenti reazioni:

10) Scrivere:
a) D-mannosio (il mannosio è l’epimero in 2 del glucosio)
b) L-galattosio (il galattosio è l’epimero in 4 del glucosio)
c) L-idosio (l’idosio è un diastereoisomero del glucosio, che ne differisce per la configurazione al C-2, C-3 e C-4)
d) il D-fruttosio (il fruttosio è un chetoso che presenta, ai carboni chirali che restano tali, le stesse configurazioni assolute del glucosio)ile avere più strutture di risonanza, scegliere una di quelle che contribuiscono di più all’ibrido di risonanza
SECONDO SET
1) Attribuire il nome IUPAC, comprensivo di stereochimica, ai seguenti composti:

2) Disegnare l’acido (1S,3S)-3-benzilcicloesancarbossilico
3) Proporre formule di struttura per le molecole aventi le seguenti caratteristiche:
a) due atomi di carbonio ibridati sp2 e due atomi di carbonio ibridati sp3
b) quattro atomi di carbonio tutti ibridati sp2
c) due atomi di carbonio ibridati sp, e due atomi di carbonio ibridati sp2
4) Gli orbitali molecolari di antilegame sono prodotti da:
a) interazione costruttiva (in fase) degli orbitali atomici
b) interazione distruttiva (fasi opposte) degli orbitali atomici
c) la sovrapposizione degli orbitali atomici di due ioni negativi
d) tutte le precedenti
e) nessuna delle precedenti
5) Ordina i seguenti composti per acidità crescente e motivare la scelta

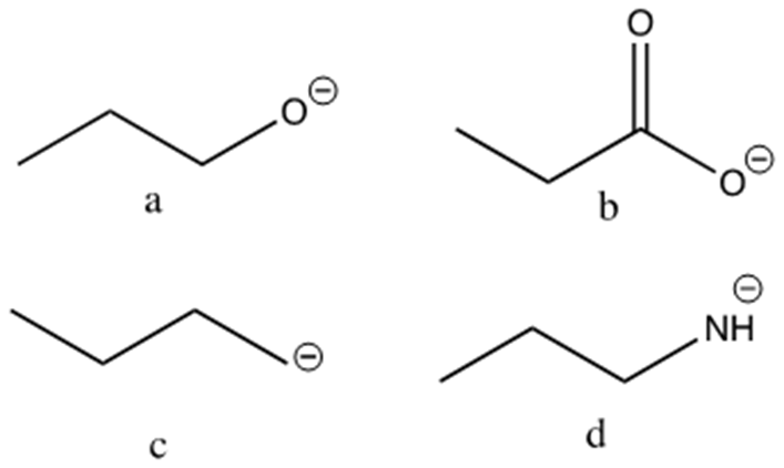
6) Disporre i seguenti composti in ordine di basicità decrescente (dal più basico al meno basico) e spiegare sinteticamente il perché

7) a. Individuare gli idrogeni più acidi in ciascuno dei seguenti composti. b. ordinare i seguenti composti in ordine di acidità crescente
a) 3-ossobutanoato di metile
b) acetone (=propanone)
c) 2,4-pentandione
d) etanoato di metile
8) Cerchiare quella che, tra le seguenti, è la conformazione più stabile del 2-metilpentano e spiegare quali sono i fattori che la rendono tale:

9) Stabilire le configurazioni assolute dei carboni chirali presenti nelle seguenti molecole (NB: la notazione va riportata vicino ai carboni cui fa riferimento) e dire qual è la relazione stereochimica esistente tra i composti di ciascuna coppia (enantiomeri/diastereoisomeri/stesso composto/altro):

10) Scrivere il meccanismo e i prodotti delle seguenti reazioni

11. Fai un esempio di ione aromatico
TERZO SET
1 Rispondi alle domande sulla seguente molecola:

a) Quante coppie solitarie sono presenti sul bromo e quali orbitali occupano? ___________________
b) Quanti carboni ibridati sp3 sono presenti? ________________________________________
c) Indicare con una freccia sulla figura il legame singolo carbonio-carbonio più corto.
2) Quali sono la geometria, l’angolo di legame e l’ibridazione previste per il radicale metile?
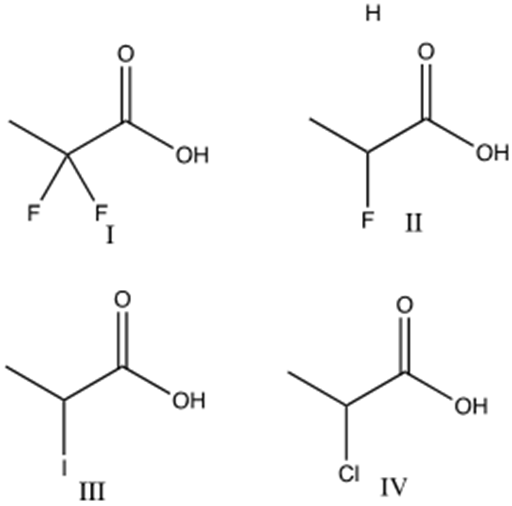
3) Disporre i seguenti composti in ordine di acidità decrescente (dal più acido al meno acido) e spiegare sinteticamente il perché:

4) Disegnare il composto di formula molecolare C5H9Br che contenga 2 carboni chirali. Disegnare e attribuire il nome IUPAC a tutti i possibili stereoisomeri.
5) Attribuire la configurazione assoluta a tutti i carboni chirali e individuare la relazione stereochimica esistente tra le seguenti strutture:

6) Disegnare un diagramma di energia potenziale per la rotazione di 360° del legame C2-C3 del 2-metilbutano, partendo da uno dei conformeri più stabili e disegnando tutte le conformazioni corrispondenti ai massimi e ai minimi di energia.
7) Disponi i seguenti composti in ordine di calore di idrogenazione decrescente

8) Partendo dall’opportuno alchene, illustrare il meccanismo di reazione della sintesi del seguente composto. Indicare eventuali altri prodotti fornendo per tutti il nome IUPAC completo di stereochimica.

9) Mostrare i prodotti ottenuti a partire dai seguenti composti posti in presenza di tracce di acido

10) Assegnare il nome IUPAC, comprensivo di stereochimica, ai seguenti composti:

Cosa fare se si riscontrano difficoltà o se si hanno dubbi:
-rivedere gli argomenti problematici (NB: non si possono risolvere gli esercizi senza aver studiato la teoria, per cui sarà necessario studiare e approfondire l’argomento ed eventualmente-successivamente-esercitarsi ulterioremente utilizzando sia gli esercizi del libro sia quelli presenti su questo blog).
-contattare il docente: è possibile sia chiedere spiegazioni, sia fare ricevimento (anche in gruppo) o organizzare esercitazioni dedicate
You must be logged in to post a comment.