Carboni chirali ed enantiomeri
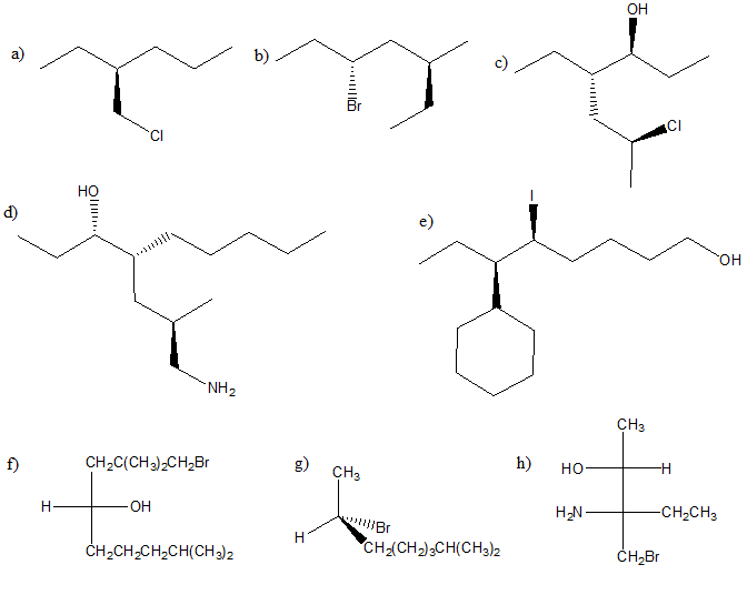
1) Assegnare la configurazione assoluta (R/S) ai carboni chirali delle seguenti molecole.

2) Rappresentare i seguenti composti come con: I) formule prospettiche, II) strutture a segmenti; III) proiezioni di Fischer:
a) (2S)-2-bromobutano
b) (3R)-3-cloro-2-metilpentano
c) (2S,3R)-3-cloro-2-pentanolo
d) (2R,3R)-3-etil-2-metilesano (NB: c’è un errore nella traccia, in quanto il carbonio 2 non è chirale)
e) (2S,3S)-3-isopropil-2-pentanolo (Errore nella traccia. Il nome corretto è (2S,3S)-3-etil-4-metilentan-2-olo)
3) Assegnare il nome IUPAC comprensivo di stereochimica ai seguenti composti:

PER ORA, TRALASCIATE la nomenclatura della d e dalla h (ma potete attribuire le configurazioni assolute ai carboni chirali)
4) Individuare, tra le seguenti strutture, l’enantiomero del (2R)-2-bromo-1-esanolo

5) Dire quale tra le strutture a-d è un’altra rappresentazione del seguente composto:

6) Scrivi i quattro composti (inclusi gli enantiomeri) di formula molecolare C5H11Br che abbiano almeno un carbonio chirale. Attribuisci il nome, comprensivo di stereochimica, a ciascuno di essi.
Per ottenere le correzioni degli esercizi 1,3,4,5 è possibile commentare inserendo le risposte. Tali risposte saranno poi corrette dalla docente il prima possibile
LikeLiked by 1 person
Correzioni esercizi 2 e 6: https://www.dropbox.com/scl/fi/svrxyyivbgpwuwkn792oz/Carboni-chirali-ed-enantiomeri.pdf?rlkey=6ac4tab76cmwwnm5avaur7fr0&st=7ci9s6y6&dl=0
LikeLike
Svolgimento esercizi 1-3-4-5.
Esercizio 1 – assegnazione delle configurazioni assolute:
a-b-c da sinistra a destra.
a) R (ho effettuato uno scambio mettendo l’idrogeno al posto del cloro e la configurazione ottenuta era una S, quindi senza lo scambio è una R)
b) S
c) S
d-e-f sotto da sinistra a destra
d) entrambi i centri asimmetrici sono R.
e) Achirale.
f) 3R,4S.
Esercizio 3 – Nomenclatura e stereochimica
a) (3S)-3-cloroetilesano.
b) (2S-4R)-4-Bromo-2-etilesano.
c) (3S-4S-6S)-6-cloro-4-etileptan3-olo.
d) (3S-4R)-4-[3-ammino-2-metilpropil-(2S)]nonan-3-olo –> di questo non ne sono molto sicura.
e) (5R-6R)-6-cicloesil-5-iodioottan-1-olo.
f) (4R)-1-Bromo-2-dimetilnonan4-olo.
g) (2R)-2-Bromo-7-metilottano.
h) (2R-3R)-3-Ammino-3-Bromoetilpentan-2-olo.
Esercizio 4 –
L’enantiomero è la lettera D poiché ha configurazione opposta.
Esercizio 5 –
La B e la D sono altre rappresentazioni del composto.
LikeLike
Esercizio 3. a) perchè cloroetil?
b) attenzione alla catena più lunga. Ricontrolla
d/h) non potete ancora farli, per cui tralasciamo il nome per ora. Ricontrolla però le configurazioni di d
e) controlla la configurazione del carbonio 5
f) ricontrolla il nome, mancano dei sostituenti
Molto importante: perchè usi i trattini al posto della virgola? Es. (2S,4R) e NON (2S-4R)
Ricontrolla gli esercizi 4 e 5
LikeLike
grazie prof, ora ricontrollo tutto
LikeLike
esercizio n4: lettera e (struttura a segmenti)
esercizio n5: lettera c (configurazione opposta S)
LikeLike
4: perchè e?
5: leggi bene la traccia
LikeLike
Prof mi scusi, io all’esercizio n. 4 mi trovo che l’enantiomero è la lettera C. È corretto?
LikeLike
Sì
LikeLike
Prof mi scusi, io all’esercizio n. 4 mi trovo che l’enantiomero è la lettera C. È corretto?
LikeLike