Stereochimica: esercizi introduttivi
- Individuare i carboni chirali (se ci sono) nelle seguenti molecole.
NB: è possibile riportare la risposta indicando la posizione del carbonio definito sulla base delle regole IUPAC per la nomenclatura. Es.: in a il carbonio chirale è il C3.

2. Definire la configurazione assoluta dei carboni chirali presenti nelle seguenti molecole e dire in che relazione sono tra di loro i componenti delle seguenti coppie di strutture (stesso composto/enantiomeri/composti diversi):

3. Per ognuna delle seguenti coppie di strutture dire se sono una coppia di enantiomeri o due rappresentazioni dello stesso composto. Per stabilirlo è necessario stabile la configurazione assoluta di ciascuna struttura

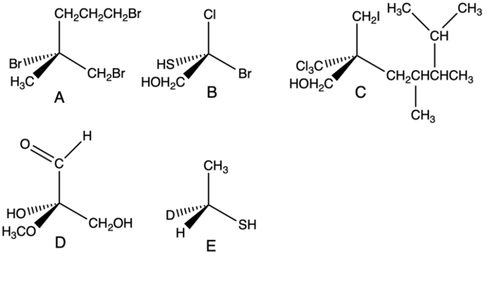
4. Assegnare la configurazione assoluta ai carboni chiari evidenziati nelle seguenti strutture tridimensionali

5. Dire quale tra le strutture a-d rappresenta l’enantiomero del seguente composto
Per stabilirlo è necessario stabile la configurazione assoluta per ciascuna struttura!

6. Stabilire la configurazione assoluta di ciascun carbonio chirale presente nelle seguenti molecole

Soluzioni: https://www.dropbox.com/scl/fi/n7yez3dq6aru03bu4phh0/Intro-stereochimica.pdf?rlkey=tpxfazl91djtemp3gv3sijfjw&st=n5dfkymb&dl=0
LikeLike