II prova di recupero: esercitazione
Esercitazione destinata agli studenti che dovranno sostenere la seconda prova di recupero.
Suggerimento: per poter usare questi esercizi come test di autovalutazione, svolgerli senza l’ausilio di libro/appunti ed impiegando un tempo massimo di 2 ore.
Altri set di esercizi saranno pubblicati successivamente.
PRIMO SET
1. Attribuire il nome IUPAC, comprensivo di stereochimica (se indicata), ai seguenti composti

2) Indicare le condizioni ottimali per ottenere ciascuno dei seguenti composti a partire dal 2-metil-2-butene. Se quello ottenuto non è l’unico prodotto di reazione, indicare gli ulteriori altri prodotti formati, dire in che relazione sono col prodotto riportato e indicare se si formano o meno in quantità equimolari rispetto a quest’ultimo. NB: se non si formano ulteriori prodotti, scrivere “nessuno” nella casella dedicata.

3) Scrivere i prodotti principali delle seguenti reazioni

4) Mostrare le condizioni di reazione, il meccanismo e i prodotti della reazione del propanone con azaciclopentano
5) Mostrare le condizioni di reazione e il meccanismo per ottenere il 2-metil-2-butanolo a partire dall’opportuno cloruro acilico
6) Scrivere tutte le strutture limite di risonanza del seguente carbocatione

7) Ordina i seguenti composti per reattività crescente in una reazione E1:

8) Chi reagirà più velocemente in una reazione E2 tra (1S,3R)-1-bromo-3-isopropilcicloesano e (1S,3S)-1-bromo-3-isopropilcicloesano? Spiegare sinteticamente perché
9) Disporre i seguenti composti in ordine di basicità decrescente e motivare la risposta data:

10) Disponi i seguenti composti in ordine di reattività crescente in una reazione di addizione di acido alogenidrico.

SECONDO SET
1. Il prodotto principale della reazione di idratazione del seguente composto è diverso rispetto al prodotto principale della reazione di ossimercuriazione/riduzione. Mostrare il meccanismo delle due reazioni, mettendo in evidenza i fattori che determinano la formazione di due prodotti diversi.

2. Completare il seguente schema inserendo le condizioni di reazione o i prodotti mancanti. Evidenziare la stereochimica.

3. Mostrare il meccanismo e i prodotti della reazione del ciclopentanone con etanolo in ambiente acido
4. Disponi i seguenti composti in ordine di calore di idrogenazione crescente

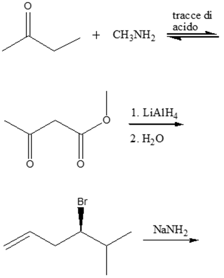
5. Completare il seguente schema inserendo le condizioni di reazione o i prodotti mancanti nei riquadri. Evidenziare la stereochimica quando opportuno.

6. Scrivere il/i prodotto/i principale/i delle seguenti reazioni, indicando la stereochimica quando opportuno

7. Ordina i seguenti composti per reattività crescente in una reazione SN1

8. Indicare le condizioni di reazione ottimali per ottenere le seguenti trasformazioni:

9. Assegnare il nome IUPAC al seguente composto :

TERZO SET
1. Attribuire il nome IUPAC, comprensivo di stereochimica, ai seguenti composti

2. Partendo dall’opportuno alchene, illustrare il meccanismo di reazione della sintesi del seguente composto. Indicare eventuali altri prodotti fornendo per tutti il nome IUPAC completo di stereochimica.

3. Scrivere i prodotti principali delle seguenti reazioni. Indicare la stereochimica, quando opportuno.

4. Mostrare il meccanismo e i prodotti della seguente reazione:

5. Completare il seguente schema inserendo le condizioni di reazione o i prodotti mancanti. Evidenziare la stereochimica quando opportuno.

6. Proporre un meccanismo plausibile per la formazione dei seguenti alcheni a partire dall’alcol mostrato, a seguito di una reazione di disidratazione acido catalizzata

7. In riferimento all’esercizio 6, come procederesti per ottenere solo l’alchene B? Perché quello sarà l’unico prodotto della reazione?
8. Disporre i seguenti composti in ordine di acidità crescente e spiegare sinteticamente il perché:

9. Disponi i seguenti composti in ordine di calore di idrogenazione decrescente

Cosa fare se si riscontrano difficoltà o se si hanno dubbi:
-rivedere gli argomenti problematici (NB: non si possono risolvere gli esercizi senza aver studiato la teoria, per cui sarà necessario studiare e approfondire l’argomento ed eventualmente-successivamente-esercitarsi ulterioremente utilizzando sia gli esercizi del libro sia quelli presenti su questo blog).
-contattare il docente: è possibile sia chiedere spiegazioni, sia fare ricevimento (anche in gruppo) o organizzare esercitazioni dedicate
You must be logged in to post a comment.