II prova di recupero: esercitazione
Esercitazione destinata agli studenti che dovranno sostenere la seconda prova di recupero.
Suggerimento: per poter usare questi esercizi come test di autovalutazione, svolgerli senza l’ausilio di libro/appunti ed impiegando un tempo massimo di 2 ore.
Altri set di esercizi saranno pubblicati successivamente.
PRIMO SET
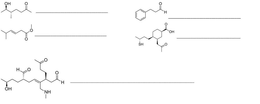
1. Attribuire il nome IUPAC, comprensivo di stereochimica (se indicata), ai seguenti composti

2) Mostrare una strategia per ottenere la seguente trasformazione. Mostrare anche i meccanismi di reazione

3) Scrivere i prodotti principali delle seguenti reazioni (indicare la stereochimica quando opportuno)

4) Mostrare le condizioni di reazione, il meccanismo e i prodotti della reazione di idrolisi del butanoato di etile
5) Indicare le condizioni di reazione ottimali per ottenere le seguenti trasformazioni:

6) Disporre i seguenti composti in ordine di acidità decrescente, motivando la risposta

7) Mostrare le condizioni, il meccanismo e i prodotti della seguente reazione:

SECONDO SET
1) Mostrare le condizioni, il meccanismo e i prodotti della seguente reazione:

2) Fornire un meccanismo plausibile per la seguente trasformazione (indicare le condizioni di reazione e mostrare il meccanismo)

3) Indicare le condizioni ottimali per ottenere ciascuno dei seguenti composti a partire dal (S)-3-metilciclopentene. Se quello ottenuto non è l’unico prodotto di reazione, indicare gli ulteriori altri prodotti formati, dire in che relazione sono col prodotto riportato e indicare se si formano o meno in quantità equimolari rispetto a quest’ultimo. NB: se non si formano ulteriori prodotti, scrivere “nessuno” nella casella dedicata.
4) Partendo dall’opportuno alchene, illustrare il meccanismo di reazione della sintesi del seguente composto. Indicare eventuali altri prodotti fornendo per tutti il nome IUPAC completo di stereochimica.

5) Scrivere i prodotti principali delle seguenti reazioni. Indicare la stereochimica, quando opportuno.

6) Spiegare perchè nella seguente reazione non so ottiene alcun prodotto di eliminazione

7) Mostrare il meccanismo di apertura del seguente epossido a) con metanolo in ambiente acido; b) con lo ione acetiluro ottenuto trattando l’etino con NaNH2. Mostrare la stereochimica dei prodotti. Attribuire il nome IUPAC all’epossido e ai prodotti formati.

5) Il prodotto di eliminazione E2 di (1R,2S)-1-bromo-2-isopropilcicloesano sarà diverso dal prodotto di eliminazione di (1S,3S)-1-bromo-2-isopropilcicloesano. Spiegare sinteticamente perché
Cosa fare se si riscontrano difficoltà o se si hanno dubbi:
-rivedere gli argomenti problematici (NB: non si possono risolvere gli esercizi senza aver studiato la teoria, per cui sarà necessario studiare e approfondire l’argomento ed eventualmente-successivamente-esercitarsi ulterioremente utilizzando sia gli esercizi del libro sia quelli presenti su questo blog).
-contattare il docente: è possibile sia chiedere spiegazioni, sia fare ricevimento (anche in gruppo) o organizzare esercitazioni dedicate































You must be logged in to post a comment.