Reazioni di sostituzione nucleofila acilica

Per affrontare questi esercizi è INDISPENSABILE aver studiato il cap 15 del Bruice.

1) Mostrare il meccanismo e i prodotti delle seguenti reazioni

2) Partendo dall’opportuno cloruro acilico, sintetizzare i seguenti composti 

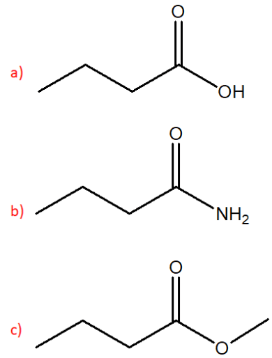
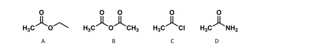
3) Ordina i seguenti composti per reattività crescente in una reazione di sostituzione nucleofila acilica, giustificando la risposta

4) Partendo da acido acetico (=acido etanoico) indicare le condizioni e il meccanismo di reazione (quando possibile) per ottenere i seguenti composti:
a) cloruro di acetile
b) anidride acetica
c) acetato di propile
d) N-metilacetammide

5) Mostrare come è possibile sintetizzare l’acido pentanoico a partire dall’1-bromopropano

6) La sintesi di Gabriel è utilizzata per la sintesi di ammine primarie. Mostrare il meccanismo di formazione della propanammina a partire dall’opportuno alogenuro alchilico e dalla ftalimmide di potassio. Proporre un meccanismo plausibile per l’idrolisi acido-catalizzata della ftalimmide N-sostituita

7) In figura sono riportate le strutture della morfina e dell’eroina. La seconda molecola può essere ottenuta per semi-sintesi* a partire dalla prima mediante una reazione di sostituzione nucleofila acilica. Individuare le modifiche strutturali necessarie e proporre una strategia per ottenere l’eroina a partire dalla morfina

*produzione di composti organici a partire da sostanze organiche naturali che vengono solo parzialmente modificate in laboratorio

8) Proporre un meccanismo per la seguente trasformazione: