Esercitazione
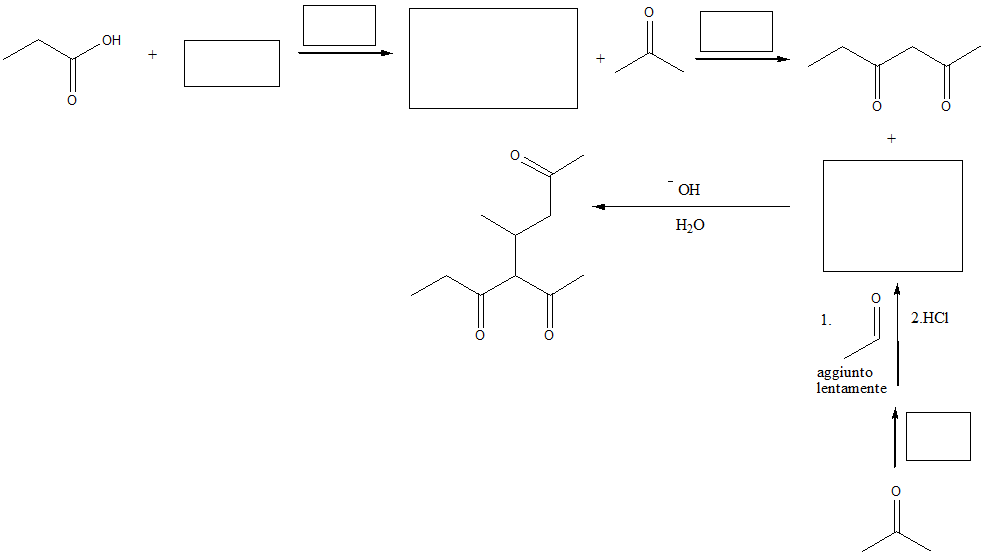
Completare i seguenti schemi di sintesi. Indicare la stereochimica quando opportuno.
1)

2)

3)

Università degli Studi della Campania "Luigi Vanvitelli"
Completare i seguenti schemi di sintesi. Indicare la stereochimica quando opportuno.
1)

2)

3)

You must be logged in to post a comment.