I prova di recupero: esercitazione
Suggerimento: per poter usare questi set di esercizi come test di autovalutazione, svolgerli senza l’ausilio di libro/appunti ed impiegando un tempo massimo di 2 ore per ciascun set.
PRIMO SET
1) Per lo ione fosfato (PO43-) è possibile scrivere diverse strutture di risonanza. Scrivere la struttura di Lewis che rappresenta una delle strutture che contribuisce maggiormente all’ibrido di risonanza. Calcolare le cariche formali per tutti gli atomi
2) Quali sono la geometria, l’angolo di legame e l’ibridazione previste per l’anione metile?
3) Disporre i seguenti composti in ordine di basicità crescente (dal meno basico al più basico) e spiegare sinteticamente il perché:

4) Per ciascuno dei seguenti composti, scrivi la forma predominante a pH 3; 6; 10; 14
CH3CH2OH (pKa= 15,9)
CH3COOH (pKa= 4,8)
CH3CH2NH3+ (pKa= 11,0)
5) Attribuire il nome IUPAC, comprensivo di stereochimica, ai seguenti composti

6) Quella qui riportata è la struttura della vitamina C

a) Individuare il legame singolo C-C più corto
b) dire quali orbitali molecolari danno luogo al doppio legame C=O e quali orbitali atomici/ibridi sono usati per formare tali orbitali molecolari
c) individuare gli atomi di carbonio ibridati sp2
7) Scrivere uno dei conformeri a sedia del cis-1,3-dimetilcicloesano. Poi, effettuare l’inversione d’anello e dire qual è il conformero più stabile
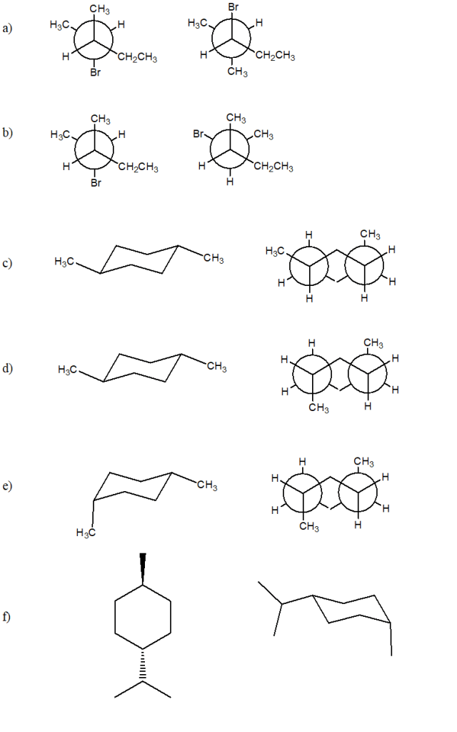
8) Dire se le seguenti coppie di composti sono: isomeri costituzionali, isomeri geometrici, isomeri conformazionali o composti diversi:oni cui fa riferimento) e dire qual è la relazione stereochimica esistente tra i composti di ciascuna coppia (enantiomeri/diastereoisomeri/stesso composto/altro):

9) Dire quale dei seguenti composti è otticamente attivo:

10) Disegnare un diagramma di energia potenziale per la rotazione di 360° del legame C2-C3 del 2,3-dimetilbutano, partendo da uno dei conformeri meno stabili e disegnando tutte le conformazioni corrispondenti ai massimi e ai minimi di energia.
SECONDO SET
1) Identificare il tipo di orbitali (indicati dalle lettere a-g nell’immagine seguente); specificare anche se si tratta di orbitali atomici o molecolari.

2) Dire quali sono l’ibridazione, la geometria e l’angolo di legame del radicale metile.
3) Il composto mostrato in figura è il paclitaxel, un farmaco antitumorale. Indicare l’ibridazione dei carboni indicati dalle lettere A e B e dai numeri 1,2,3.

4) Scrivere e attribuire il nome IUPAC al composto di formula C4H10 che non possiede idrogeni secondari.
5) Scrivere la struttura a segmenti del seguente composto e dire se il nome IUPAC è corretto; se non lo è, apportare le dovute correzioni: 1-butil-1-metil-3-ciclopentanammina
6) Disegnare i conformeri anti e gauche del 1,2-dibromoetano usando sia le proiezioni di Newman sia le strutture a cavalletto. Quale tra i due conformeri avrà momento dipolare maggiore?
7) Rispondere ai seguenti quesiti:
b) A quale valore di pH la concentrazione della forma acida di un composto con pKa 3.4 è 10 volte maggiore rispetto alla forma basica?
a) A quale valore di pH la concentrazione della forma basica di un composto con pKa 6.2 è 100 volte maggiore rispetto alla forma acida?
c) A quale valore di pH il 50% di un composto con pKa 7.2 si troverà in soluzione nella forma basica?
8) Metti i seguenti composti in ordine di basicità crescente e motivare la scelta

9) Stabilire le configurazioni assolute dei carboni chirali presenti nelle seguenti molecole (NB: la notazione va riportata vicino ai carboni cui fa riferimento) e dire qual è la relazione stereochimica esistente tra i composti di ciascuna coppia (enantiomeri/diastereoisomeri/stesso composto/altro):

10) Attribuire la configurazione assoluta al seguente carbonio chirale

11) Rispondere alle domande A-D relative ai seguenti composti:

12) Attribuire il nome IUPAC, comprensivo di stereochimica, ai seguenti composti

13) Scrivere e attribuire il nome IUPAC a tutti gli isomeri aventi formula molecolare C5H10
Cosa fare se si riscontrano difficoltà o se si hanno dubbi:
-rivedere gli argomenti problematici (NB: non si possono risolvere gli esercizi senza aver studiato la teoria, per cui sarà necessario studiare e approfondire l’argomento ed eventualmente-successivamente-esercitarsi ulterioremente utilizzando sia gli esercizi del libro sia quelli presenti su questo blog).
-contattare il docente: è possibile sia chiedere spiegazioni, sia fare ricevimento (anche in gruppo) o organizzare esercitazioni dedicate


























You must be logged in to post a comment.