Cicloesano: inversione di anello
Sedia
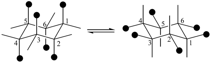
Osservare attentamente la seguente figura (attenzione a come è disegnata la sedia, al numero dei carboni e alla posizione dei singoli legami; notare come tutti i legami assiali diventano equatoriali e viceversa):

Procedimento

Proiezione di Newman
Osservare attentamente la seguente figura.
NB: per passare dalla proiezione di Newman di una delle conformazioni all’altra, concentrarsi sui due CH2 “centrali”; basta “spingere” verso l’alto il CH2 rivolto verso il basso (vedi quello riportato in nero) e di conseguenza “spingere” verso il basso l’altro CH2 (quello riportato un rosso). A quel punto, disegnando correttamente gli altri legami, basterà completare la proiezione. Notare che il sostituente X (in nero) da equatoriale diventa assiale. Notare anche che non cambiano i legami lungo cui si osserva il cicloesano nella proiezione di Newman.

NB: sia sulla sedia che sulla proiezione di Newman a seguito dell’inversione di anello, tutti i legami equatoriali diventano assiali e tutti quelli assiali diventano equatoriali, ma tutto ciò che è rivolto verso l’alto (al di sopra dell’anello) continua ad essere rivolto verso l’alto, così come tutto ciò che è rivolto verso il basso, continua ad essere rivolto verso il basso (mai spostare un sostituente da un legame rivolto verso l’alto a uno verso il basso e viceversa, dato che una modifica di questo tipo è possibile solo a seguito della rottura di un legame sigma).
You must be logged in to post a comment.