Chimica Organica-DiSTABiF

Università degli Studi della Campania "Luigi Vanvitelli"

Menu

  • Homepage
  • Blog
  • Esami
  • Link utili
  • Avvisi
  • Docenti
  • News
  • Archivio
  • Tesi
  • Privacy

CdL Biologia Nucleofili ed elettrofili

Posted on Mar 20, 2023 by Brigida D'Abrosca
T

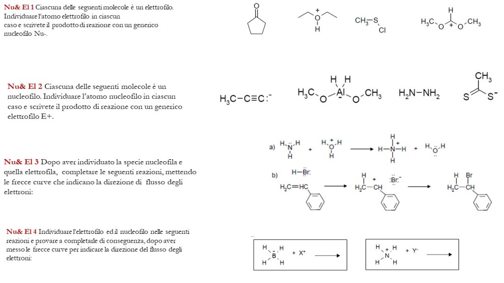
Esercizi in vista della prova intercorso…

Share this:

  • Share on X (Opens in new window) X
  • Share on Facebook (Opens in new window) Facebook
Like Loading...
tagged with elettrofili, nucleofili, reazioni
  • Bioorganica

Pagine

  • Blog
    • Biotecnologie
      • Chimica Organica
    • Scienze Agrarie e Forestali
      • Chimica Organica
    • Scienze Ambientali
      • Chimica Organica
    • Scienze Biologiche
      • Chimica Organica
      • Chimica delle Sostanze Organiche Naturali
    • Biologia
      • Chimica Bioorganica
      • Metabolomica
      • Prodotti naturali di interesse biomedico e salutistico
    • Farmacia
      • Chimica Organica
      • Sintesi Chimica di Molecole Bioattive
  • Homepage
  • Tesi
  • Esami
  • Link utili
  • Avvisi
  • Docenti
  • News
  • Archivio
  • Privacy

Popular Posts

  • Nomenclatura II
  • Surprise Organic Chemistry Challenge
  • Weekend Organic Chemistry Challenge
  • ORGANIC CHEMISTRY CHALLENGE – CDS FARMACIA
  • Weekend Organic Chemistry Challenge

Enter your email address to subscribe to this blog and receive notifications of new posts by email.

Join 386 other subscribers.

Facebook

Facebook
Follow Chimica Organica-DiSTABiF on WordPress.com

Instagram

CdL Scienze Biologiche CdL Scienze Biologiche CdL Scienze Biologiche ChemisTree 24 ChemisTree 23: Panettone...con o senza canditi? ChemisTree 22: CdL Scienze Biologiche– Avviso relativo alla IV prova intercorso ChemisTree 21: Dolce Natale 🎄 CdL Scienze Biologiche

Translate

Blog at WordPress.com.
  • Reblog
  • Subscribe Subscribed
    • Chimica Organica-DiSTABiF
    • Join 386 other subscribers.
    • Already have a WordPress.com account? Log in now.
    • Chimica Organica-DiSTABiF
    • Subscribe Subscribed
    • Sign up
    • Log in
    • Copy shortlink
    • Report this content
    • View post in Reader
    • Manage subscriptions
    • Collapse this bar

Loading Comments...

You must be logged in to post a comment.

    %d